@Elmo46

26 Publicaciones

1.07k Interacciones

1 Seguidores

0 Siguiendo

Lista de publicaciones de Elmo46

He publicado nuevos examenes de 2º Química Física I: Examen-final-juny-2019.pdf

4 páginas

He publicado nuevos examenes de 2º Química Física I: Examen-final-juny-2024-solucionat.pdf

8 páginas

He publicado nuevos examenes de 2º Química Física I: Examen-parcial-abril-2024-solucionat.pdf

6 páginas

He publicado nuevos examenes de 2º Química Física I: Examen-final-juny-2022-solucionat.pdf

10 páginas

He publicado nuevos ejercicios de 2º Química Física I: Prova-continua.pdf

3 páginas

He publicado nuevos apuntes de 2º Química Física I: Resum-Derivades-Parcials.pdf

1 página

He publicado nuevos ejercicios de 2º Química Física I: Problemes-Variacions-Funcions-Estat.pdf

10 páginas

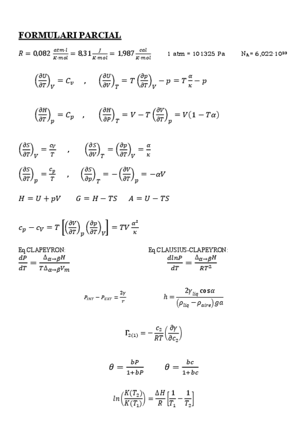
He publicado nuevos apuntes de 2º Química Física I: Formulari-parcial.pdf

1 página

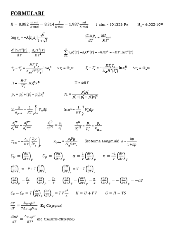
He publicado nuevos apuntes de 2º Química Física I: Formulari-examen-final.pdf

1 página

He publicado nuevos ejercicios de 2º Química Física I: Exercicis-calculs-activitats-i-coeficients.pdf

4 páginas

He publicado nuevos apuntes de 1º Química Bàsica Ii: Formulari-final.pdf

1 página

He publicado nuevos apuntes de 1º Química Aplicada II: Pictogrames-dels-productes-quimics.pdf

1 página

He publicado nuevos apuntes de 2º Química Física I: Diferencies-Fisisorcio-Quimisorcio.pdf

1 página

He publicado nuevos apuntes de 2º Química Física I: Resum-activitats-i-coeficients-tema-5.pdf

1 página

He publicado nuevos ejercicios de 2º Química Física I: Activitat-continua-solucionada.pdf

6 páginas

He publicado nuevos apuntes de 2º Química Inorgánica I: NORMES-IUPAC-compostos-de-coordinacio.pdf

1 página

He publicado nuevos apuntes de 1º Química Aplicada I: Compostos-inorganics-de-coneixement-obligatori.pdf

1 página

He publicado nuevos apuntes de 1º Química Bàsica Ii: Tipos-de-pilas.pdf

2 páginas

He publicado nuevos ejercicios de 2º Química Inorgánica I: Formulacio-i-nomenclatura-compostos-de-coordinacio.pdf

2 páginas

He publicado nuevos ejercicios de 2º Química Inorgánica I: Repas-Formulacio.pdf

3 páginas