@ElQuensito

Estudios: Grado en Ingeniería del Software (UMA) ...Mostrar más

21 Publicaciones

164 Interacciones

0 Seguidores

0 Siguiendo

Lista de publicaciones de ElQuensito

He publicado nuevos apuntes de 4º Proyectos y Legislación: Recopilacion-preguntas-Tema-2.pdf

14 páginas

practicas

-

Practicas Talf

He publicado nuevos practicas de 2º Teoría de Autómatas y Lenguajes Formales: Practicas Talf

P1Ejer1.pdf
P1Ejer2.pdf
P2.pdf
Practica3.pdf
Practica4.pdf

practicas

-

Memorias

He publicado nuevos practicas de 2º Análisis y diseño de algoritmos: Memorias

Memoria-Practica-1.pdf
Memoria-Practica-2.pdf
Memoria-Practica-4.pdf
MemoriaPractica3.pdf

ejercicios

-

Circuito

He publicado nuevos ejercicios de 1º Tecnología de Computadores: Circuito

Miniatura no disponible
CA22MIPS-J-y-Halt.zip
Miniatura no disponible
CA22MIPS-LW-y-SW.zip
Miniatura no disponible
CA22MIPS-ALU-y-ADDI.zip
Miniatura no disponible
CA22MIPS-BEQ.zip

practicas

-

Practicas

He publicado nuevos practicas de 1º Fundamentos de Electrónica: Practicas

Libro-Practicas-Fundamentos-Electronicav2Practica-221-22-Formulariov28.pdf
Practica-Bipolar-21-22-Formulariov1.pdf
Practica-MOSFET-21-22-Formulariov1.pdf
Libro-Practicas-Fundamentos-ElectrAnica-v2-Practica-5-21-22.pdf
Libro-Practicas-Fundamentos-ElectrAnica-v2-Practica-6-21-22.pdf

ejercicios

-

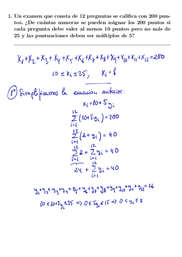
Relacion Tema 2

He publicado nuevos ejercicios de 1º Matemática Discreta: Relacion Tema 2

RelacionMD23.pdf

practicas

-

Practicas RPI

He publicado nuevos practicas de 2º Estructura de Computadores: Practicas RPI

Ej-14.pdf