@Emilicoml2
Estudios: Grado en Ingeniería Civil (UGR)
5 Publicaciones
519 Interacciones
0 Seguidores
2 Siguiendo
Lista de publicaciones de Emilicoml2
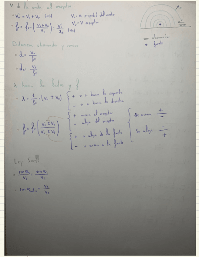
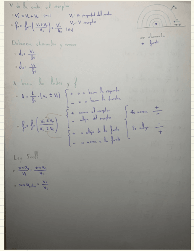
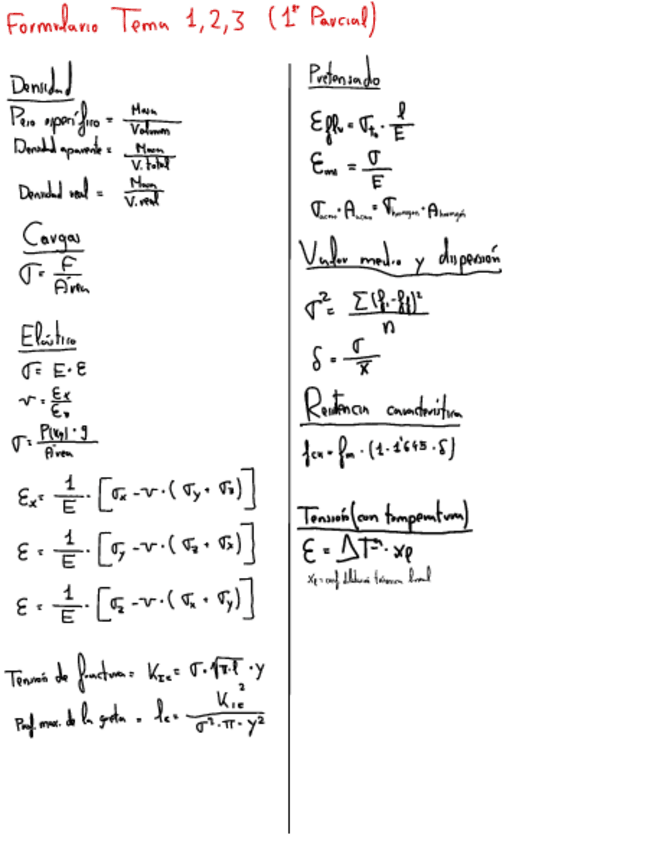
He publicado nuevos apuntes de 1º Ciencia y Tecnología de Materiales: Formulario.pdf
5 Publicaciones
519 Interacciones
0 Seguidores
2 Siguiendo
He publicado nuevos apuntes de 1º Ciencia y Tecnología de Materiales: Formulario.pdf