@Eniam53

6 Publicaciones

458 Interacciones

2 Seguidores

2 Siguiendo

Lista de publicaciones de Eniam53

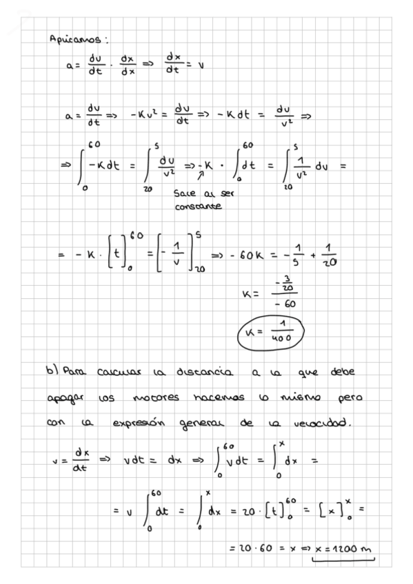
He publicado nuevos examenes de 1º Física I: Mecánica y Termodinámica: EXAMEN-FISICA-FEBRERO-EXPLICADO.pdf

23 páginas

He publicado nuevos apuntes de 1º Estadística y Optimización: PROBABILIDAD.pdf

8 páginas

He publicado nuevos apuntes de 1º Estadística y Optimización: OPTIMIZACION-NO-LINEAL.pdf

11 páginas

He publicado nuevos ejercicios de 1º Estadística y Optimización: REPASO-EXAMEN-OPTIMIZACION.pdf

13 páginas

He publicado nuevos practicas de 1º Estadística y Optimización: PRACTICA-2-MAXIMA.pdf

5 páginas

He publicado nuevos ejercicios de 1º Estadística y Optimización: PROBLEMAS-OPTIMIZACION.pdf

9 páginas