@epsilon_zgz

Estudios: Grado en Matemáticas (UNIZAR) ...Mostrar más

Bio: Somos un centro de estudios en Zaragoza y compartimos materiales sencillos y variados que creamos para nuestros alumnos.

15 Publicaciones

157 Interacciones

0 Seguidores

9 Siguiendo

Lista de publicaciones de epsilon_zgz

Examen resuelto

3 páginas

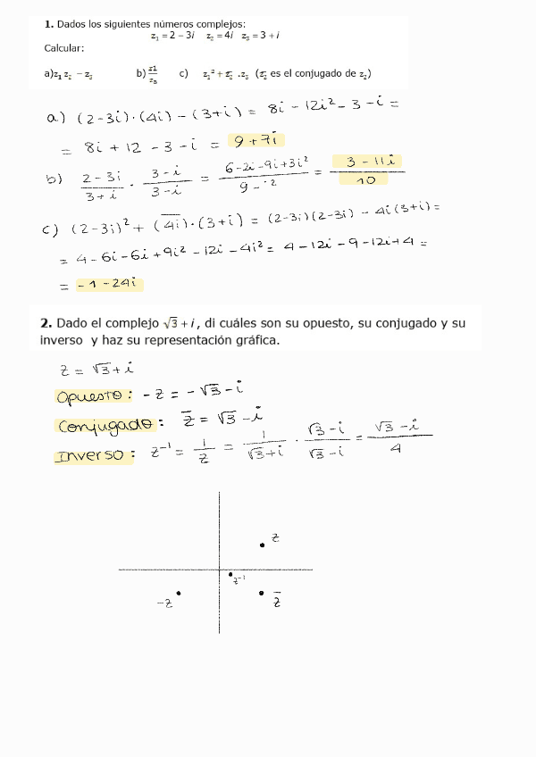
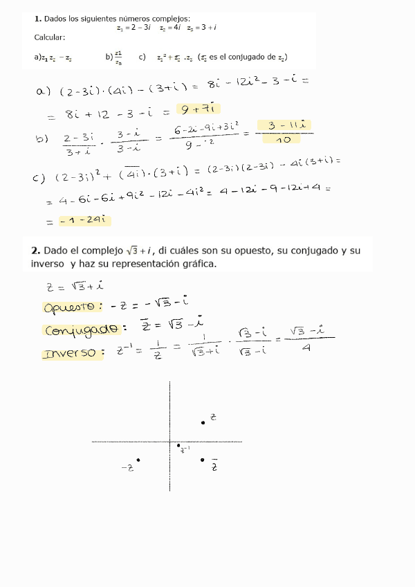
He publicado nuevos examenes de 1º Matemáticas I: Examen-Complejos.pdf

5 páginas

VECTORES

2 páginas

Resumen sobre determinantes.

2 páginas

He publicado nuevos apuntes de 1º Introducción Al Análisis de Datos: Esquema-T4.pdf

2 páginas

Prueba libre bachiller 2019 matemáticas II resuelta.

10 páginas

Resumen demostraciones gravitación.

3 páginas

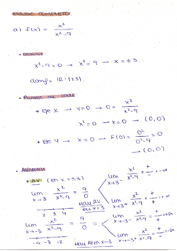
He publicado nuevos ejercicios de 2º Matemáticas aplicadas a las Ciencias Sociales II: Ejemplo-dominio-asintotas-crecimiento-y-curvatura.pdf

3 páginas

He publicado nuevos apuntes de 2º Matemáticas II: Resumen-Aplicaciones-derivadas.pdf

2 páginas

Mini esquema: Funciones & cónicas para curvas de nivel.

1 página

Dominios: Tabla resumen

1 página

Límites: Tabla resumen indeterminaciones.

1 página

Resumen Complejos

2 páginas

He publicado nuevos apuntes de 2º Historia de la Filosofía: Platon.pdf

26 páginas