@erinn

177 Publicaciones

8.56k Interacciones

8 Seguidores

0 Siguiendo

Lista de publicaciones de erinn

apuntes

-

resúmenes teoría Orgánica III

He publicado nuevos apuntes de 3º Química Orgánica III: resúmenes teoría Orgánica III

resumen-T1.pdf
resumen-T2.pdf
resumen-T4.pdf
Resumen-T5.pdf
Resumen-t6.pdf
esquema-reactividad-piridinas.pdf

apuntes

-

Ejercicios resueltos Orgánica III

He publicado nuevos apuntes de 3º Química Orgánica III: Ejercicios resueltos Orgánica III

Ejercicios-T1.pdf
EjsT2OIII.pdf
EjsT4OIII.pdf
EjsT5OIII.pdf
EjsT6OIII.pdf
EjsT4OIII-parte-2.pdf

apuntes

-

Resúmenes teoría Analítica III

He publicado nuevos apuntes de 3º Química Analítica III: Resúmenes teoría Analítica III

Resumen-T1y2-Analitica-III.pdf
Resumen-T345-AIII.pdf
Resumen-T6-AIII.pdf
Resumen-T7-y-8-AIII.pdf

He publicado nuevos ejercicios de 3º Ingeniería Química: Ejercicios-repaso-Ingenieria.pdf

22 páginas

He publicado nuevos examenes de 2º Química Física I: Ejercicios-examenes-QFI.pdf

16 páginas

apuntes

-

Ejercicios resueltos Inorgánica III

He publicado nuevos apuntes de 3º Química Inorgánica III: Ejercicios resueltos Inorgánica III

ejst4-InIII.pdf
ejstT3-InIII.pdf

apuntes

-

Resúmenes teoría Quifi I

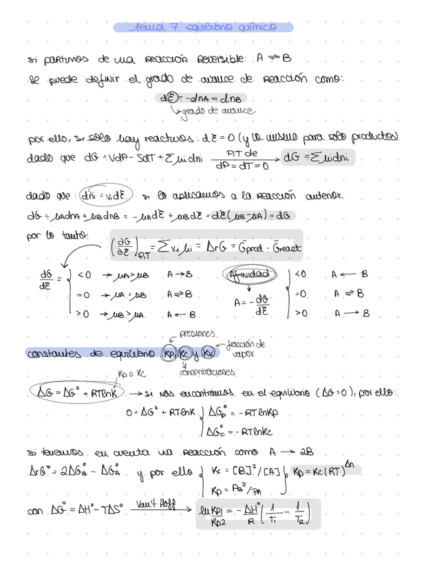
He publicado nuevos apuntes de 2º Química Física I: Resúmenes teoría Quifi I

Resumen-T1-Cinetica.pdf
qfT8.pdf
qfT7.pdf
qfT6.pdf
qfRt5.pdf
qfT4.pdf

apuntes

-

Resúmenes teoría Ingeniería

He publicado nuevos apuntes de 3º Ingeniería Química: Resúmenes teoría Ingeniería

Resumen-T1.-Introduccion..pdf
Resumen-T2-Ing.pdf

ejercicios

-

Tutorías QFI

He publicado nuevos ejercicios de 2º Química Física I: Tutorías QFI

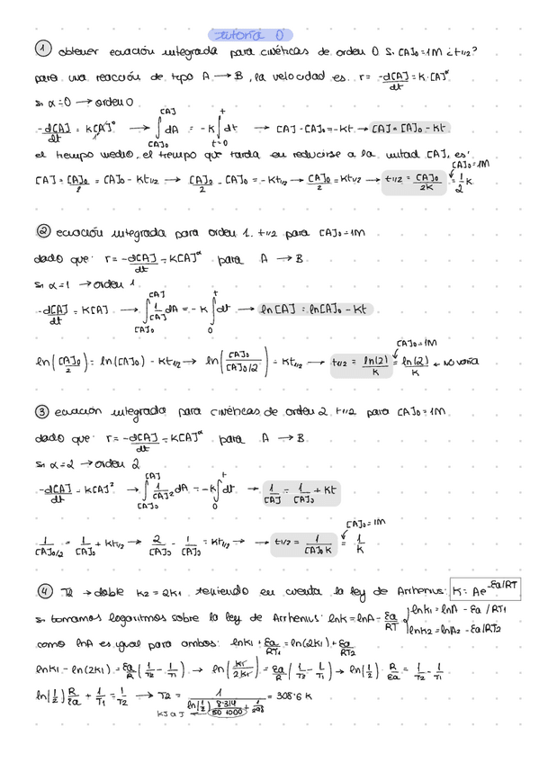
tutoria-0-y-1-QFI.pdf
tutoria-2.pdf
Tutoria-tema-3.pdf

apuntes

-

Ejercicios resueltos Analítica I

He publicado nuevos apuntes de 2º Química Analítica I: Ejercicios resueltos Analítica I

ejs-T1-parte-A-y-B.pdf
ejs-T1-parte-C-y-D.pdf
ejs-T3.pdf
T5.pdf
T6.pdf
ejsT7.pdf

apuntes

-

Tareas Analítica I

He publicado nuevos apuntes de 2º Química Analítica I: Tareas Analítica I

Segunda-tarea.pdf
Ejercicios-primera-tarea.pdf
tarea-3.pdf

apuntes

-

Esquemas teoría Analítica II

He publicado nuevos apuntes de 2º Química Analítica II: Esquemas teoría Analítica II

T8-esquema-AII.pdf
T7-esquema-AII.pdf
T6-esquema-AII.pdf
T5-esquema-AII.pdf

He publicado nuevos examenes de 2º Química Orgánica II: examen-OII-1a-convocatoria-2022.pdf

15 páginas

apuntes

-

esquemas reacciones Orgánica II

He publicado nuevos apuntes de 2º Química Orgánica II: esquemas reacciones Orgánica II

T1-esquema-OII.pdf
T2-esquema-OII.pdf
T3-esquema-OII.pdf
T4-esquema-OII.pdf
T5-esquema-OII.pdf
T6-esquema-OII.pdf