@estudiantfarma

Estudios: Grado en Farmacia (UB) ...Mostrar más

20 Publicaciones

527 Interacciones

2 Seguidores

17 Siguiendo

Lista de publicaciones de estudiantfarma

He publicado nuevos apuntes de 2º Microbiología I: tema-2.pdf

28 páginas

He publicado nuevos apuntes de 2º Fisiología y Fisiopatología II: index-1r-parcial.pdf

3 páginas

He publicado nuevos apuntes de 4º Farmacognosia: TEMES-20-22.pdf

6 páginas

He publicado nuevos test de 2º Biología Molecular y Genómica: VF-2n-parcial-resolt-amb-justificacions.pdf.pdf

6 páginas

He publicado nuevos apuntes de 3º Fisiología Vegetal: bloc-3-i-4--preguntes-vf.docx

word

He publicado nuevos apuntes de 3º Fisiología Vegetal: bloc-1-i-2.docx

word

He publicado nuevos apuntes de 4º Farmacognosia: molecules-bloc-1-i-2.pdf

2 páginas

He publicado nuevos apuntes de 4º Farmacognosia: taules-de-temes-4-5-6-i-seminaris-1-i-2.pdf

7 páginas

He publicado nuevos apuntes de 4º Farmacognosia: temes-1-2-3-taules.pdf

3 páginas

He publicado nuevos apuntes de 2º Biología Molecular y Genómica: seminari-ITECNIQUES-BASIQUES-DE-BIOLOGIA-MOLECULAR.pdf

6 páginas

Respostes al final

4 páginas

He publicado nuevos apuntes de 1º Botánica Farmacéutica: angiospermes.pdf

31 páginas

He publicado nuevos apuntes de 1º Botánica Farmacéutica: gimnospermes.pdf

5 páginas

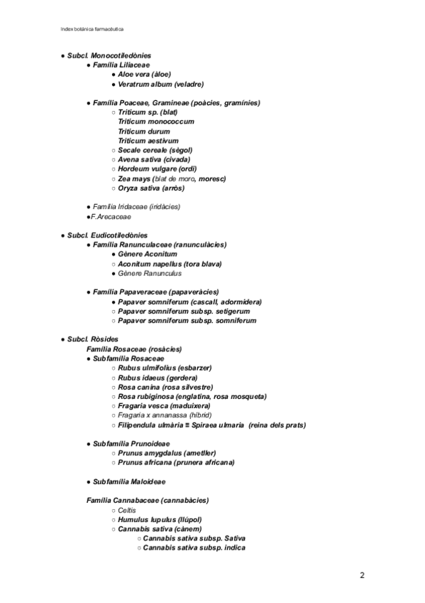
Index botànica 24/25 M1 Cèsar Blanché

5 páginas

resum/index 24/25

3 páginas

Diapositives 7.4

2 páginas

He publicado nuevos practicas de 1º Introducción a la Farmacia Galénica: Test-Problemes-Diagnostic-Obligatori-1010.pdf

1 página

He publicado nuevos practicas de 1º Introducción a la Farmacia Galénica: Autoavaluacio-ABANS-de-les-practiques-en-multiples-intents.pdf

5 páginas

He publicado nuevos apuntes de 1º Biología I: miscrocopi.pdf

2 páginas

He publicado nuevos apuntes de 1º Biología I: elcitoplasma-Documents-de-Google.pdf

3 páginas