@examenesdadeupo

7 Publicaciones

322 Interacciones

6 Seguidores

3 Siguiendo

Lista de publicaciones de examenesdadeupo

He publicado nuevos examenes de 1º Microeconomics: Examen-Microeconomia.-2a-Convocatoria-2024.pdf

1 página

He publicado nuevos examenes de 1º Derecho Constitucional I: Instituciones Constitucionales: Examen-Derecho-Constitucional-I.-1era-Convocatoria-2023.pdf

1 página

He publicado nuevos examenes de 1º Derecho constitucional II: Derechos fundamentales: Examen-Derecho-Constitucional-II.-1era-Convocatoria.pdf

1 página

He publicado nuevos examenes de 1º Introduction to Economics: Examen-Introduction-to-Economics-2a-Convocatoria-2024.pdf

2 páginas

He publicado nuevos examenes de 1º Derecho Constitucional I: Instituciones Constitucionales: Examen-derecho-constitucional-1-2024.pdf

1 página

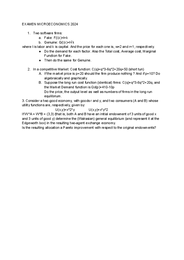
He publicado nuevos examenes de 1º Microeconomics: Examen-Microeconomia-2024.pdf

1 página

He publicado nuevos examenes de 1º Derecho Civil. Parte General: Examen-Civil-1era-Convocatoria-2024.pdf

1 página