@facuu

3 Publicaciones

155 Interacciones

0 Seguidores

0 Siguiendo

Lista de publicaciones de facuu

He publicado nuevos examenes de 4º Modelos Estocásticos: ExamenFebrero2020.pdf

10 páginas

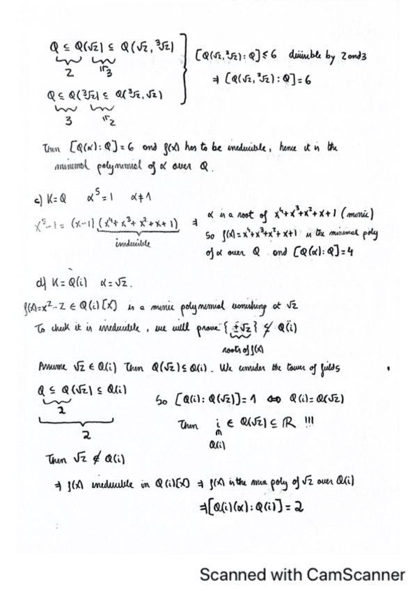
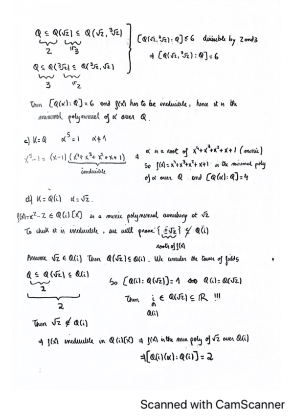
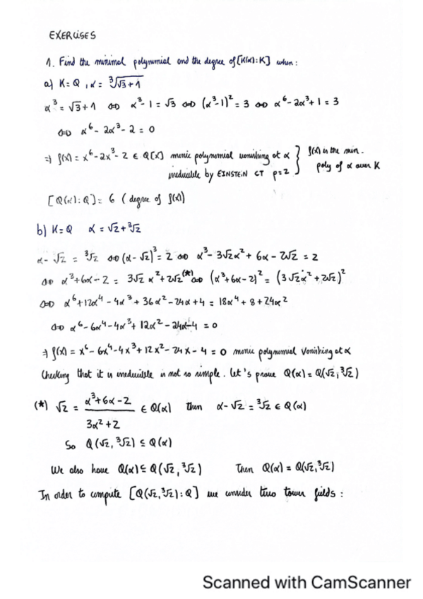
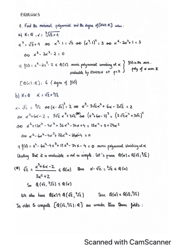
He publicado nuevos ejercicios de 3º Teoría de Cuerpos: ExercisesBodies.pdf

6 páginas

He publicado nuevos examenes de 1º Estructuras Algebraicas: Enunciado-Extraordinaria2023.pdf

1 página