@farmabotica

60 Publicaciones

3.23k Interacciones

1 Seguidores

0 Siguiendo

Lista de publicaciones de farmabotica

apuntes

-

Seminarios corregidos

He publicado nuevos apuntes de 5º Farmacología y Farmacoterapia III y Farmacia Clínica: Seminarios corregidos

Seminario-0-Farma-clinica.pdf
Seminario-1-Farma-clinica.pdf
Seminario-2-Farma-clinica.pdf
Seminario-3-Farma-clinica.pdf

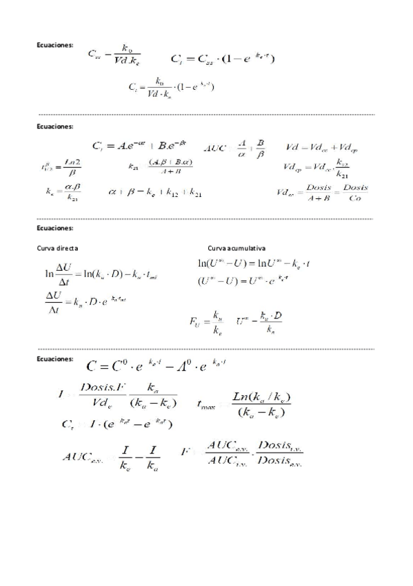
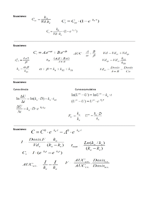
He publicado nuevos apuntes de 4º Biofarmacia y Farmacocinética: Formulario.pdf

3 páginas

He publicado nuevos apuntes de 5º Nutrición, Dietética y Dietoterapia: Nutrition.pdf

41 páginas

apuntes

-

Seminario ejercicios

He publicado nuevos apuntes de 3º Nutrición y Bromatología: Seminario ejercicios

Dieta-del-diabetico.pdf
Dieta-equilibrada.pdf
Alergias.pdf
Dieta-del-enfermo-renal.pdf
Dieta-del-deportista.pdf

apuntes

-

Prácticas Nutrición

He publicado nuevos apuntes de 3º Nutrición y Bromatología: Prácticas Nutrición

NINO-HIPERLIPEMIA.pdf
COLESTEROL.pdf
FENILCETONURIA.pdf
OBESIDAD.pdf
Cuadernillo.pdf

He publicado nuevos examenes de 4º Laboratorio de Farmacia: Examen-Modulo-de-TF.pdf

4 páginas

ejercicios

-

Seminarios resueltos

He publicado nuevos ejercicios de 4º Biofarmacia y Farmacocinética: Seminarios resueltos

Seminario-Pesos.pdf
Seminario-Cinetica-de-disolucion.pdf
Seminario-Insuficiencia-renal.pdf
Seminario-Insuficiencia-renal-2.pdf
Seminario-Adm-bolo-modelocompartimental.pdf
Seminario-Perfusion-modelocompartimental.pdf

examenes

-

Primer parcial 2018-19 con respuestas

He publicado nuevos examenes de 1º Química Inorgánica: Primer parcial 2018-19 con respuestas

Segundo-parcial-de-Quimica-Inorganica.pdf
Examen-QI.pdf

examenes

-

Examen previo 2018-19

He publicado nuevos examenes de 1º Fisicoquímica: Examen previo 2018-19

Examen-FQ.pdf

He publicado nuevos apuntes de 2º Fisiología Humana II: Circulacion-capilar.pdf

1 página

He publicado nuevos ejercicios de 4º Biofarmacia y Farmacocinética: Ejercicio-de-clase.pdf

1 página

ejercicios

-

Ejercicios Bioquimica

He publicado nuevos ejercicios de 3º Biotecnología Farmacéutica: Ejercicios Bioquimica

Ejercicio-Biotecnologia-Q11.pdf
Ejercicio-Biotecnologia-Q13.pdf
Ejercicio-Biotecnologia-Q14.pdf

ejercicios

-

Seminario TFI

He publicado nuevos ejercicios de 3º Tecnología Farmacéutica I: Seminario TFI

Seminario-granulometria.pdf
Seminario-reologia.pdf
Seminario-emulsiones.pdf
Seminario-estabilidad.pdf
Seminario-suspensiones.pdf
Seminario-disoluciones.pdf