@farmafacil_

Estudios: Grado en Farmacia (USPCEU) ...Mostrar más

215 Publicaciones

2.81k Interacciones

19 Seguidores

1 Siguiendo

Lista de publicaciones de farmafacil_

apuntes

-

AABB - apuntes efectivos

He publicado nuevos apuntes de 3º Análisis Biológicos y Diagnóstico de Laboratorio: AABB - apuntes efectivos

Teoria-parasitologia.pdf
Teoria-hematologia.pdf

apuntes

-

Fisiopatología - apuntes efectivos

He publicado nuevos apuntes de 3º Fisiopatología: Fisiopatología - apuntes efectivos

BLOQUE-1-NEUROLOGIA.pdf
BLOQUE-2-ENDOCRINOLOGIA.pdf
BLOQUE-3-RENAL.pdf
BLOQUE-4-APARATO-DIGESTIVO-E-HIGADO.pdf
BLOQUE-5-SISTEMA-CARDIOVASCULAR.pdf
BLOQUE-6-HEMATO-RESPIRATORIO.pdf

apuntes

-

Farmacología general - apuntes efectivos

He publicado nuevos apuntes de 3º Farmacología General: Farmacología general - apuntes efectivos

BLOQUE-B-FARMACOCINETICA.pdf
BLOQUE-A-INTRODUCCION.pdf
BLOQUE-C-FARMACODINAMIA.pdf
BLOQUE-D-SEGURIDAD-DE-MEDICAMENTOS.pdf
BLOQUE-E-FARMACOLOGIA-DEL-SNP-Y-PERIFERICO.pdf

apuntes

-

Biotecnología - apuntes efectivos

He publicado nuevos apuntes de 3º Biotecnología: Biotecnología - apuntes efectivos

TEMA-3-HERRAMIENTAS-MOLECULARES-EN-BIOTECNOLOGIA.pdf
TEMA-6-SECUENCIACION.pdf
TEMA-4-TECNICAS-BASICAS-DE-MANIPULACION.pdf
TEMA-5-PCR.pdf
TEMA-7-PRODUCCION-DE-PROTEINAS-EN-PROCARIOTAS.pdf
TEMA-8-PRODUCCION-DE-PROTEINAS-EN-EUCARIOTAS-1.pdf

apuntes

-

Farmacogenética y farmacogenómica - apuntes efectivos

He publicado nuevos apuntes de 5º Farmacogenética y Farmacogenómica: Farmacogenética y farmacogenómica - apuntes efectivos

TEMA-6-ENFERMEDADES-CARDIOVASCULARES-Y-HEMATOLOGICAS.pdf
TEMA-4-y-5-MEDICINA-PERSONALIZADA-y-ENSAYOS-CLINICOS.pdf
TEMA-3-FARMACODINAMIA.pdf
TEMA-2-FARMACOCINETICA.pdf
TEMA-8-ENFERMEDADES-DEL-SNC.pdf
TEMA-11-ENFERMEDADES-INMUNOMEDIADAS.pdf

apuntes

-

Microbiología - apuntes efectivos

He publicado nuevos apuntes de 3º Microbiología: Microbiología - apuntes efectivos

BLOQUE-3-GENETICA-MICROBIANA.pdf
BLOQUE-2-NUTRICION-Y-METABOLISMO-MICROBIANO.pdf
BLOQUE-1-NATURALEZA-DEL-MUNDO-MICROBIANO.pdf
BLOQUE-4-ANTIBIOTICOS.pdf
BLOQUE-5-INMUNOLOGIA.pdf
BLOQUE-6-VIROLOGIA.pdf

apuntes

-

Parasitología - apuntes efectivos

He publicado nuevos apuntes de 3º Parasitología: Parasitología - apuntes efectivos

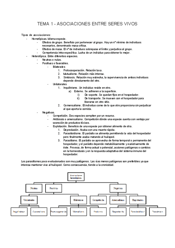
TEMA-1-ASOCIACIONES-ENTRE-SERES-VIVOS.pdf
TEMA-2-TIPOS-DE-PARASITOS-HOSPEDADORES-Y-CICLOS-BIOLOGICOS.pdf
TEMA-3-RELACION-PARASITO-HOSPEDADOR.pdf
TEMA-5-GIARDIA-Y-TRICHOMONAS.pdf
TEMA-4-PROTOZOOS.pdf
TEMA-6-FLAGELADOS-HEMATICOS-Y-TISULARES.pdf

apuntes

-

Fisiología - apuntes efectivos

He publicado nuevos apuntes de 3º Fisiología: Fisiología - apuntes efectivos

BLOQUE-1-INTRODUCCION-Y-ESTUDIO-DE-LA-NEURONA.pdf
BLOQUE-2-SISTEMA-NERVIOSO-Y-MUSCULAR.pdf
BLOQUE-3-LA-SANGRE.pdf
BLOQUE-4-SISTEMA-CARDIOVASCULAR.pdf
BLOQUE-5-SISTEMA-RESPIRATORIO.pdf
BLOQUE-6-SISTEMA-RENAL.pdf