@Farmar12

Estudios: Grado en Farmacia (UCM) ...Mostrar más

167 Publicaciones

5k Interacciones

4 Seguidores

2 Siguiendo

Lista de publicaciones de Farmar12

apuntes

-

Apuntes completos Farmacognosia

Pertenecen a Turbocuranina pero están editados y mejorados.

Tema-1.-Conceptos-generales-Alba.pdf
Tema-2.-Obtencion-y-conservacion-de-drogas-Alba.pdf
Tema-3.-Bases-analiticas-para-el-control-de-identidad-y-calidad-Alba.pdf
Tema-4.-Extraccion-de-PA-ALBA.pdf
Tema-5.-Glucidos-Alba.pdf
Tema-6.-Otros-compuestos-del-metabolismo-primario-Alba.pdf

apuntes

-

Microbiologia B1

He publicado nuevos apuntes de 3º Microbiología: Microbiologia B1

Tema-1.-Introduccion-Rosa.pdf
Tema-2.-La-diversidad-de-los-microorganismos-Isabel.pdf
Tema-3.-Microscopia-y-observacion-de-microorganismos-Isabel.pdf
Tema-4.-Membrana-citoplasmatica-Rosalia.pdf
Tema-5.-LA-PARED-CELULAR-ESTRUCTURA-Y-FUNCION-BIOLOGICA-Rosalia.pdf

He publicado nuevos apuntes de 1º Historia de la Farmacia, Legislacion y Deontologia Farmaceutica: Examen-Resumen-Historia.pdf

8 páginas

He publicado nuevos apuntes de 1º Fisica Aplicada a la Farmàcia: Resumen-Segundo-Parcial-Fisica-examen.pdf

8 páginas

He publicado nuevos apuntes de 1º Botánica: Herbario-fichas-.pdf

9 páginas

apuntes

-

Ejercicios resueltos y tareas

Los iré subiendo

Ejercicios-validacion-para-practicar.pdf
Tarea-ESI.pdf
Preguntas-articulo-clase.pdf

apuntes

-

Resúmenes fisiopatología

He publicado nuevos apuntes de 3º Fisiopatología: Resúmenes fisiopatología

Tema-1.-Concepto-de-fisiopatologia.pdf
Tema-14.-Trastornos-de-la-circulacion-venosa.pdf
Tema-22.pdf

apuntes

-

Apuntes fisiopatología

Tema 15,16,17 y 18: Medardo

Tema-15.-Insuficiencia-respiratoria.pdf

He publicado nuevos apuntes de 2º Bioquímica: Resumen prácticas bioquímica.pdf

8 páginas

He publicado nuevos apuntes de 2º Química Analítica II: Resumen prácticas QAII.pdf

5 páginas

apuntes

-

Ejercicios resueltos

Ejercicios resueltos

E9-Reacciones-complejas.pdf
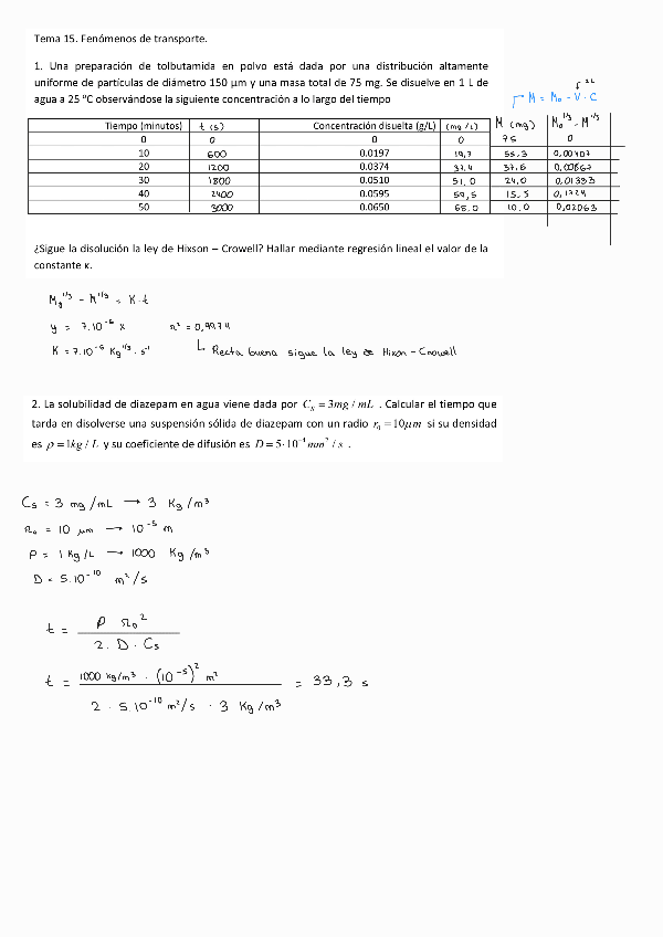
E15-Fenomenos-de-transporte.pdf
E13Superficies.pdf
E12-Catalisis.pdf
E14-Difusion.pdf
E11-Reacciones-disolucion.pdf

apuntes

-

Resúmenes

Notable

Tema-1.pdf
Tema-3.pdf
Tema-2.pdf
Tema-4.pdf
Tema-7.pdf
Tema-5.pdf