@fco_cabeza

20 Publicaciones

161 Interacciones

1 Seguidores

0 Siguiendo

Lista de publicaciones de fco_cabeza

apuntes

-

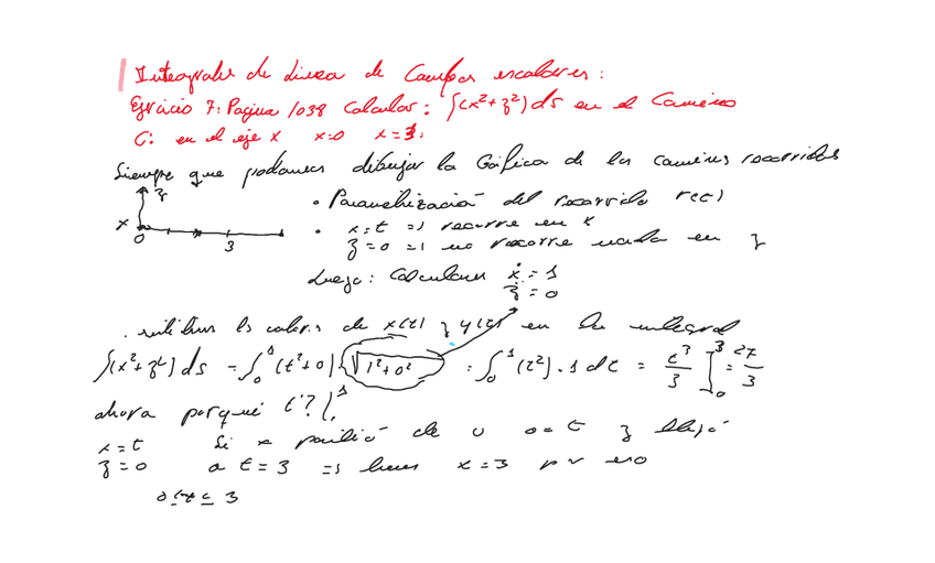
EJERCICIOS DE INTEGRALES DE LINEAS DE CAMPOSESCALARES

He publicado nuevos apuntes de 2º Ampliación de Matemáticas: EJERCICIOS DE INTEGRALES DE LINEAS DE CAMPOSESCALARES

EJERCICIOS-INTEGRALES-DE-LINEAS-CAMPOS-ESCALARES.pdf
integrales-de-linea-campos-vectorials-geen-areas-ect.pdf
ejercicio-13-pa-1081-larson.pdf
integrales-desuperficie-stockes.pdf

apuntes

-

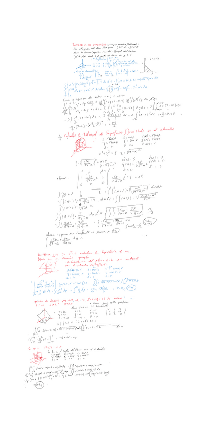
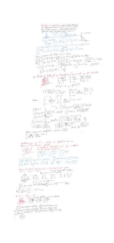
INTEGRALES DE SUPERFICIES

He publicado nuevos apuntes de 2º Ampliación de Matemáticas: INTEGRALES DE SUPERFICIES

INTEGRALES-DE-SUPERFICIES-AREAS-STOKES-FLUJO-DIVERGENCIA-ECT.pdf

He publicado nuevos apuntes de 2º Ampliación de Matemáticas: integralesdelinea-vectoriales-trabajo-green-ect.pdf

1 página

He publicado nuevos apuntes de 2º Ampliación de Matemáticas: larson-int-lineas.png

Imagen

He publicado nuevos apuntes de 2º Evaluación del Impacto Ambiental en la Obra Civil: larson-int-lineas.pdf

1 página

He publicado nuevos apuntes de 2º Ampliación de Matemáticas: larson-int-lineas.pdf

1 página

He publicado nuevos apuntes de 1º Dibujo Técnico I: examen-2018-ejercicio2-lineas-ocultas.pdf

1 página

examenes

-

examen dibujo septiembre 2018

He publicado nuevos examenes de 1º Dibujo Técnico I: examen dibujo septiembre 2018

examenredacion2018-septiembre.pdf
examen-2018-septiembre2.pdf
examen-septiembre-2018-primero.pdf

examenes

-

EXÁMENES GEOMETRÍA DESCRIPTIVA

EXÁMENES RESUELTOS ( PUEDE HABER ALGÚN ERROR Ó NINGUNO)SE RECOMIENDA QUE LO PRACTIQUEN , NO SOLO LO VEAN.

REDACCION EXAME JUNIO 2013.pdf
EXAMEN JUNIO 2013 EJERCICIO 2.pdf
examen junio 2013 ejercicio1 .pdf

examenes

-

Dibujo Técnico 1 .exámenes resueltos de Escuela Politécnica superior de Algeciras

He publicado nuevos examenes de 1º Dibujo Técnico I: Dibujo Técnico 1 .exámenes resueltos de Escuela Politécnica superior de Algeciras

examenfebrero2013.pdf
examenfebrero2013 ejercicio2.pdf
examenfebrero2013 ejerciio 1.pdf