@ferluque

Estudios: Grado en Matemáticas (UGR) ...Mostrar más

32 Publicaciones

1.13k Interacciones

0 Seguidores

0 Siguiendo

Lista de publicaciones de ferluque

ejercicios

-

Relaciones Temas 1, 2 y 3

He publicado nuevos ejercicios de 1º Fundamentos del Software: Relaciones Temas 1, 2 y 3

Relacion-2.pdf
Relacion-2.pdf
Relacion-3.pdf
Relacion-3.pdf
Relacion-1.pdf
Relacion-1.pdf

practicas

-

Módulo II Prácticas

He publicado nuevos practicas de 1º Fundamentos del Software: Módulo II Prácticas

Practica-7-Modulo-II.pdf
Practica-7-Modulo-II.pdf
Practica-8-Modulo-II.pdf
Practica-8-Modulo-II.pdf

apuntes

-

Resúmenes de TODOS los temas

He publicado nuevos apuntes de 1º ESTADÍSTICA DESCRIPTIVA E INTROD A LA PROBABILIDAD: Resúmenes de TODOS los temas

Resumen-Tema-1.pdf
Resumen-Tema-4.pdf
Resumen-Tema-3.pdf
Resumen-Tema-5.pdf
Resumen-Tema-6.pdf
Resumen-Tema-2.pdf

ejercicios

-

Relaciones de TODOS los temas

He publicado nuevos ejercicios de 1º ESTADÍSTICA DESCRIPTIVA E INTROD A LA PROBABILIDAD: Relaciones de TODOS los temas

R5-hecha.pdf
R3-hecha.pdf
R4-hecha.pdf
R2-hecha.pdf
R1-hecha.pdf

ejercicios

-

Relaciones de TODOS los temas

He publicado nuevos ejercicios de 1º ESTADÍSTICA DESCRIPTIVA E INTROD.A LA PROBABILIDAD: Relaciones de TODOS los temas

R3-hecha.pdf
R5-hecha.pdf
R1-hecha.pdf
R4-hecha.pdf

apuntes

-

Resúmenes TODOS los temas

He publicado nuevos apuntes de 1º ESTADÍSTICA DESCRIPTIVA E INTROD.A LA PROBABILIDAD: Resúmenes TODOS los temas

Resumen-Tema-5.pdf
Resumen-Tema-3.pdf
Resumen-Tema-4.pdf
Resumen-Tema-6.pdf
Resumen-Tema-1.pdf
Resumen-Tema-2.pdf

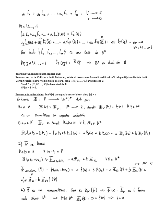
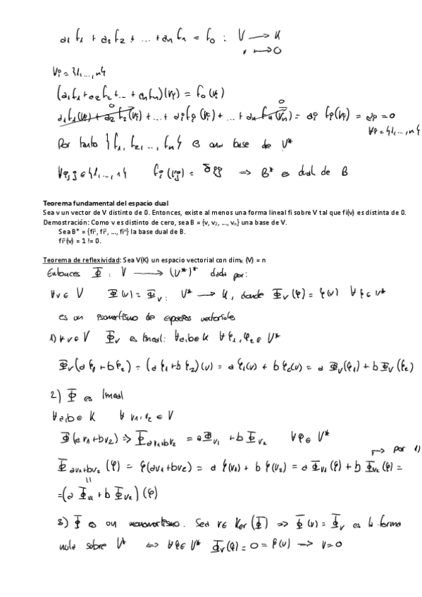
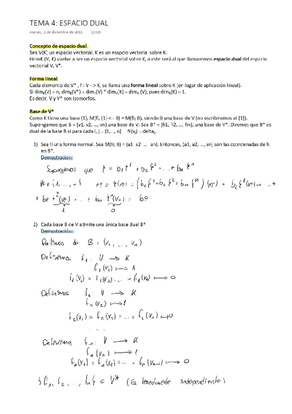
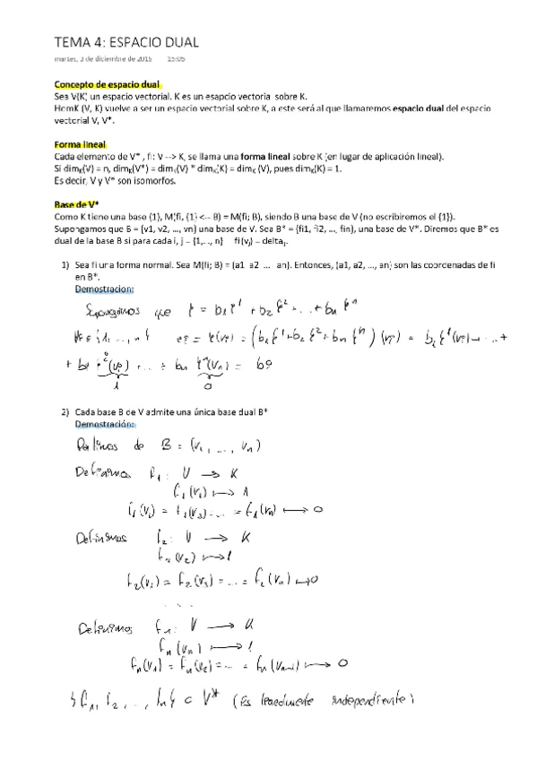
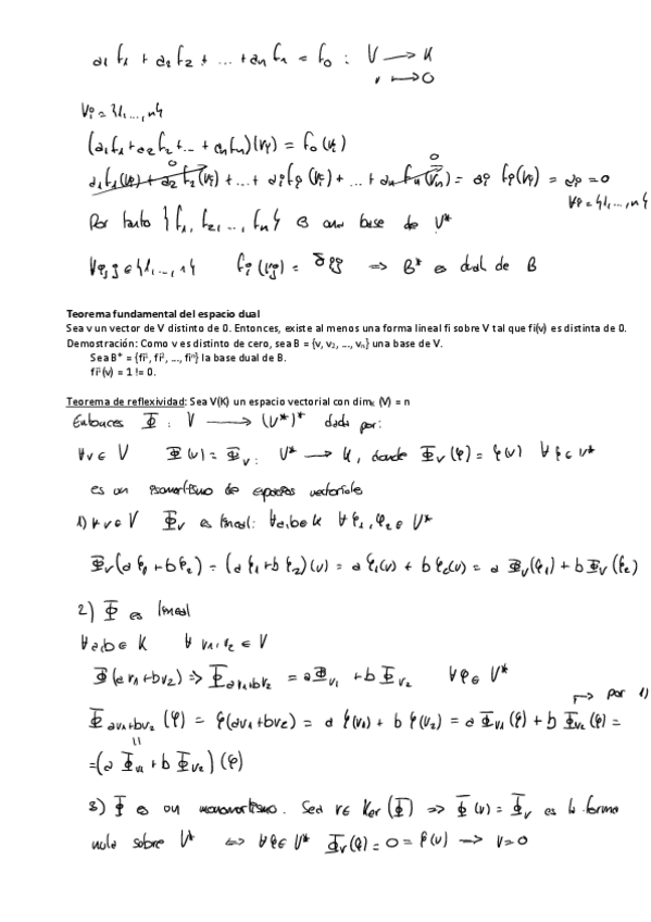
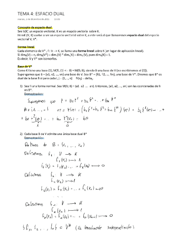
He publicado nuevos apuntes de 1º Geometría I: Tema-4-Espacio-Dual.pdf

3 páginas

He publicado nuevos apuntes de 1º Geometría I: Tema-3-Aplicaciones-Lineales.pdf

8 páginas

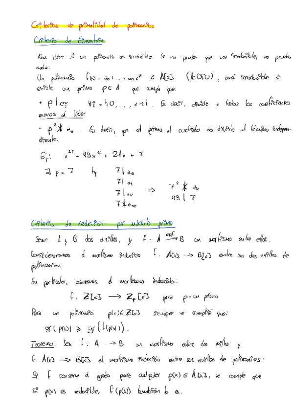
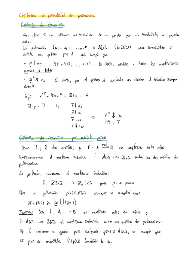
He publicado nuevos apuntes de 1º Álgebra I: Polinomios.pdf

4 páginas

He publicado nuevos apuntes de 1º Álgebra I: Cuentas.pdf

6 páginas

He publicado nuevos apuntes de 1º Geometría I: Tema-4-Espacio-Dual.pdf

3 páginas

He publicado nuevos apuntes de 1º Geometría I: Tema-3-Aplicaciones-Lineales.pdf

8 páginas