@FiltrePassaTot

Bio: }

62 Publicaciones

1.66k Interacciones

4 Seguidores

2 Siguiendo

Lista de publicaciones de FiltrePassaTot

apuntes

-

resums ONELE

He publicado nuevos apuntes de 2º Ones Electromagnètiques: resums ONELE

resum-ONELE-part-2.pdf
resum-ONELE-part-1.pdf

apuntes

-

resums ICOM

He publicado nuevos apuntes de 2º Introducció a les Comunicacions: resums ICOM

resum-ICOM-T1-i-T2.pdf
resum-ICOM-T3.pdf

apuntes

-

exercicis resolts IPAV

He publicado nuevos apuntes de 2º Introducció al Processament Audiovisual: exercicis resolts IPAV

T3-El-senyal-a-la-frequencia.pdf
T5-Convolucio-i-correlacio-2D.pdf
T4-Mostreig-delmacio-i-interpolacio.pdf
T1-Naturalesa-del-senyal.pdf
T6-Transformada-Z.pdf
T2-Senyal-domini-t.pdf

apuntes

-

resums IPAV

He publicado nuevos apuntes de 2º Introducció al Processament Audiovisual: resums IPAV

resum-IPAV-T4-T5-i-T6.pdf
resum-IPAV-T1-T2-i-T3.pdf

apuntes

-

resums FISE

He publicado nuevos apuntes de 2º Funcions i Sistemes Electrònics: resums FISE

resum-FISE-T4-T5.pdf
resum-FISE-T1-T2-T3.pdf

apuntes

-

FISE Apunts

He publicado nuevos apuntes de 2º Funcions i Sistemes Electrònics: FISE Apunts

FISE-T3-i-T4.pdf
FISE-T1-i-T2.pdf
FISE-T5-i-T6.pdf

He publicado nuevos apuntes de 2º Electromagnetisme: EM-Tema-1-parte-2-Campo-electrico.pdf

32 páginas

He publicado nuevos apuntes de 2º Electromagnetisme: EM-Tema-1-parte-1-Campo-electrico-1.pdf

32 páginas

apuntes

-

Resums SSIS

He publicado nuevos apuntes de 2º Senyals i Sistemes: Resums SSIS

Resums-SSIS-Segon-Parcial.pdf
Resum-SSIS-T1.pdf
Resum-SSIS-T1-i-T2.pdf

apuntes

-

Apunts teoria - SSIS

He publicado nuevos apuntes de 2º Senyals i Sistemes: Apunts teoria - SSIS

SSIS-Tema-1-Domini-temporal.pdf
SSIS-Tema-4-Autocorrelacio-i-densitat-espectral.pdf
SSIS-Tema-2-Domini-frequencial.pdf
SSIS-Tema-3-Transf-de-Fourier-de-senyals-discrets-o-sequencies.pdf

He publicado nuevos apuntes de 2º Probabilitat i Estadistica: resums-pie.pdf

58 páginas

apuntes

-

Apunts Teoria - PIE

He publicado nuevos apuntes de 2º Probabilitat i Estadistica: Apunts Teoria - PIE

PIE-Tema-1-Probabilitat-basica.pdf
PIE-Tema-6-Funcions-de-varies-v.-a..pdf
PIE-Tema-8-Estimacio-de-v.-a..pdf
PIE-Tema-10-Estadistica.pdf
PIE-Tema-4-Parametres-estadistics.pdf
PIE-Tema-5-V.-a.-multidimensionals.pdf

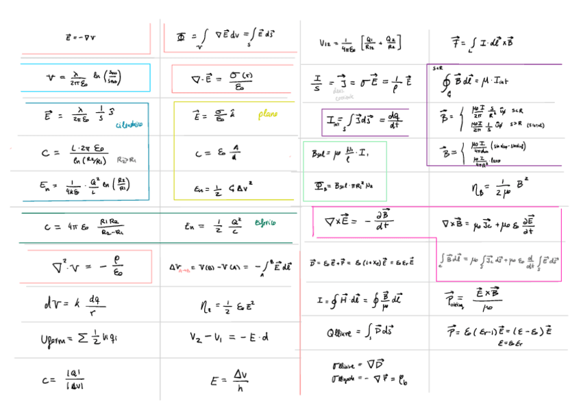
He publicado nuevos apuntes de 2º Electromagnetisme: formulari-EM-final.pdf

1 página

He publicado nuevos apuntes de 2º Electromagnetisme: formulari-EM-parcial.pdf

2 páginas

He publicado nuevos apuntes de 2º Electromagnetisme: Resums-EM.pdf

15 páginas

apuntes

-

Apunts Teoria - EM

He publicado nuevos apuntes de 2º Electromagnetisme: Apunts Teoria - EM

EM-Tema-2-Condensadores-y-corriente.pdf
EM-Tema-0-Introduccion.pdf
EM-Tema-3-Campo-magnetico.pdf
EM-Tema-4-Ecuaciones-de-Maxwell.pdf