@fjrb_

Estudios: Grado en Ingeniería Mecánica (UMA) ...Mostrar más

55 Publicaciones

1.22k Interacciones

2 Seguidores

7 Siguiendo

Lista de publicaciones de fjrb_

He publicado nuevos apuntes de 3º Ingeniería Térmica: PREGUNTAS-TERMICA-enero-2026.pdf

15 páginas

apuntes

-

RESUMEN TEMARIO

He publicado nuevos apuntes de 4º Motores Térmicos: RESUMEN TEMARIO

TEMA-2-MCIA.pdf
TEMA-3-Ciclos-de-funcionamiento-en-los-MCIA.pdf
TEMA-4.-EI-sistema-de-distribucion-en-los-MCIA.pdf
TEMA-6-el-proceso-de-combustion-de-mos-MCIA.pdf
TEMA-7-SISTEMAS-DE-REFRIGERACION-EN-MCIA.pdf
TEMA-8-PERDIDAS-MECANICAS.pdf

He publicado nuevos test de 3º Tecnología de Materiales: Prueba-de-Evaluacion-materiales-ceramicos-y-polimeros-Revision-del-intento.pdf

8 páginas

He publicado nuevos apuntes de 3º Estructuras Metálicas: TrabajoMetalicasTERMINADO.pdf

52 páginas

He publicado nuevos apuntes de 3º Máquinas fluidomecánicas: TEORIA-EXAMEN.pdf

22 páginas

He publicado nuevos apuntes de 3º Cálculo y Diseño de Máquinas: TRANSMISION-POR-ELEMENTOS-FLEXIBLES.pdf

7 páginas

apuntes

-

RESUMEN TEMARIO

He publicado nuevos apuntes de 2º Ciencia de los Materiales: RESUMEN TEMARIO

bloque-3-c.materiales.pdf
TEMA-1-DEFORMACION-ELASTICA.pdf
TEMA-2-DEFORMACION-PLASTICA.pdf
TEMA-3-MECANISMOS-DE-ENDURECIMIENTO.pdf
TEMA-4-DEFORMACION-EN-FRIO.pdf
TEMA-5-DEFORMACION-EN-CALIENTE.pdf

apuntes

-

RESUMEN TEMARIO

He publicado nuevos apuntes de 2º Ingenieria de Fabricación: RESUMEN TEMARIO

AUTOEVALUACION-1.pdf
AUTOEVALUACION-2.pdf
AUTOEVALUACION-3.pdf

apuntes

-

Apuntes Bloque 1

He publicado nuevos apuntes de 3º Tecnología de Materiales: Apuntes Bloque 1

TEMA-5-ULTRASONIDOS.pdf
TEMA-6-ANALISIS-RADIOGRAFICO.pdf
TEMA-3-PARTICULAS-MAGNETICAS.pdf
TEMA-4-CORRIENTES-INDUCIDAS.pdf
TEMA-2-LIQUIDOS-PENETRANTES.pdf

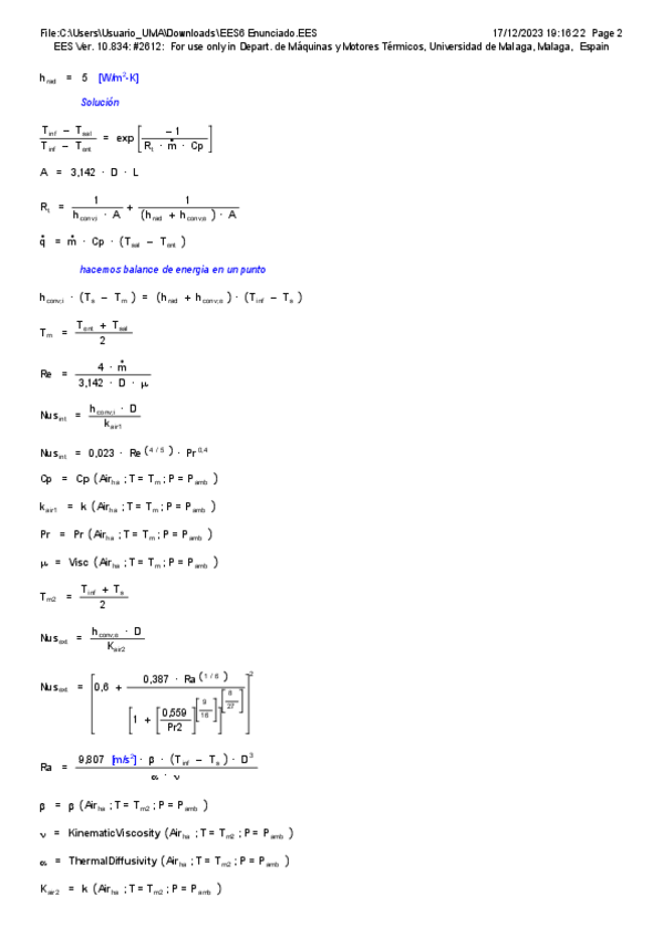
He publicado nuevos practicas de 2º Termotecnia: EES6solucion.pdf

5 páginas

He publicado nuevos practicas de 2º Termotecnia: EES8GR6.pdf

4 páginas

He publicado nuevos practicas de 2º Termotecnia: EES-8-grupo-1.pdf

4 páginas

He publicado nuevos apuntes de 2º Termotecnia: EE7.pdf

3 páginas

He publicado nuevos apuntes de 2º Termotecnia: EEs7.pdf

3 páginas

He publicado nuevos practicas de 2º Termotecnia: ESS7.pdf

3 páginas

He publicado nuevos practicas de 2º Automática: practica7y8.mlx

Miniatura no disponible

He publicado nuevos apuntes de 2º Automática: Tarea-03.pdf

2 páginas

He publicado nuevos practicas de 2º Automática: practica6.mlx

Miniatura no disponible