@FlapDeOro

539 Publicaciones

37.63k Interacciones

22 Seguidores

0 Siguiendo

Lista de publicaciones de FlapDeOro

He publicado nuevos apuntes de 1º Desarrollo del Sistema de Navegación Aérea: Extraordinario.Junio.Parte.Comunicsol.pdf

3 páginas

He publicado nuevos apuntes de 1º Desarrollo del Sistema de Navegación Aérea: Exaordinario.Enero.2019.Comunic.Solucion.pdf

2 páginas

He publicado nuevos examenes de 1º Dinámica del Vuelo: Ordinario-2022-a-mano.pdf

2 páginas

He publicado nuevos examenes de 1º Aeroelasticidad Avanzada: EXAMENES-Teoria-a-mano.pdf

12 páginas

He publicado nuevos ejercicios de 1º Diseño, Cálculo y Certificación de Vehículos Espaciales: TRIAD-Clase.pdf

2 páginas

He publicado nuevos examenes de 1º Aeroelasticidad Avanzada: Ordinario 2017.pdf

2 páginas

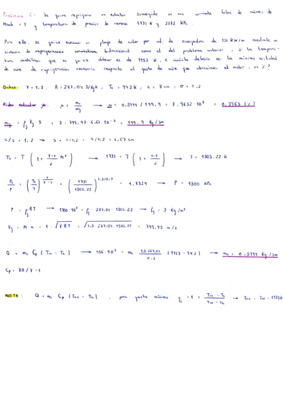
He publicado nuevos apuntes de 1º Actuaciones, Diseño y Ensayos de Aerorreactores: Problema-Refrigeracion-a-mano.pdf

3 páginas

He publicado nuevos apuntes de 1º Actuaciones, Diseño y Ensayos de Aerorreactores: Problemas cortos PEI 2 a mano.pdf

12 páginas

He publicado nuevos examenes de 1º Actuaciones, Diseño y Ensayos de Aerorreactores: Teorico-Practicos-PEI-1-a-mano.pdf

8 páginas

He publicado nuevos examenes de 1º Actuaciones, Diseño y Ensayos de Aerorreactores: 7-junio-2021-a-mano.pdf

3 páginas

apuntes

-

Problemas clase a mano

He publicado nuevos apuntes de 1º Actuaciones, Diseño y Ensayos de Aerorreactores: Problemas clase a mano

Problema-1-a-mano.pdf
Problema-3-a-mano.pdf
Problema-2-a-mano.pdf
Problema-4-a-mano.pdf
Problema-5-a-mano.pdf
Extra-1.pdf

He publicado nuevos examenes de 1º Actuaciones, Diseño y Ensayos de Aerorreactores: 3-junio-2019.pdf

3 páginas

He publicado nuevos examenes de 1º Actuaciones, Diseño y Ensayos de Aerorreactores: 26-junio-2017.pdf

2 páginas

He publicado nuevos examenes de 1º Actuaciones, Diseño y Ensayos de Aerorreactores: 2-julio-2018-a-mano.pdf

4 páginas

He publicado nuevos ejercicios de 1º Diseño, Cálculo y Certificación de Aeronaves: Problema-Remaches-Cortadurra.pdf

2 páginas

He publicado nuevos ejercicios de 1º Diseño, Cálculo y Certificación de Aeronaves: Problema-Costes.pdf

3 páginas

He publicado nuevos ejercicios de 1º Diseño, Cálculo y Certificación de Aeronaves: Problema-Panel-Compresion.pdf

3 páginas

He publicado nuevos ejercicios de 1º Diseño, Cálculo y Certificación de Aeronaves: Problema-Panel-Integral.pdf

3 páginas

He publicado nuevos ejercicios de 1º Diseño, Cálculo y Certificación de Aeronaves: Problema-Estabilidad-Larguerillos.pdf

3 páginas

He publicado nuevos ejercicios de 1º Diseño, Cálculo y Certificación de Aeronaves: Problema-Avioneta-Electrica.pdf

2 páginas