@FlorentinoCivil

Bio: El ingeniero del Real Madrid de las 3 champions entra a Wuolah. Quiero ayudaros a aprobar para tener mano de obra fresca y barata sin verme obligado a explotar a Casemiro. Cualquier cosa estoy en mis oficinas de ACS o en el palco del Santiago Bernabéu. ¡Ánimo, futuros becarios!

13 Publicaciones

1.21k Interacciones

1 Seguidores

0 Siguiendo

Lista de publicaciones de FlorentinoCivil

He publicado nuevos test de 3º Dirección de Recursos Humanos I: HRM-QUIZZIZ-QUESTIONS.pdf

23 páginas

He publicado nuevos test de 3º Dirección Estratégica de la Empresa Ii: DEII-BATERIA-V-F-POR-TEMAS.pdf

13 páginas

de la actividad del examen q ha subido sin querer a ver si os sirve ??

2 páginas

(la ha subido "sin querer" a prado)

2 páginas

ejercicios

-

TEMA 4 ingresos grado de avance

es muy fácil pero solo si miras mis apuntes (soy de segunda matrícula!!)

Documento-escaneado.pdf

He publicado nuevos ejercicios de 1º Física: condensadores.pdf

2 páginas

He publicado nuevos ejercicios de 1º Física: Circuito.pdf

3 páginas

He publicado nuevos ejercicios de 1º Física: conductividadymaq.pdf

6 páginas

He publicado nuevos apuntes de 1º Física: circuitos.pdf

3 páginas

He publicado nuevos apuntes de 1º Física: ondas.pdf

11 páginas

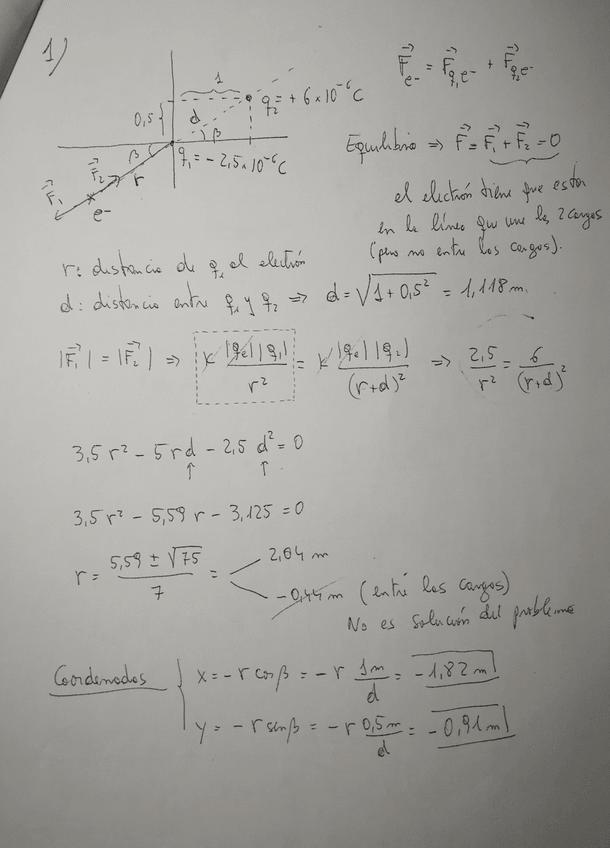
He publicado nuevos ejercicios de 1º Física: Relación Electrostática RESUELTA

5 páginas

Examen de la convocatoria ordinaria de la asignatura Análisis Matemático del Grado de Ingeniería Civil impartido en la Universidad de Granada en el primer cuatrimestre del curso 2019-2020

Imagen

He publicado nuevos examenes de 1º Análisis Matemático: Primer Parcial 2018-19.pdf

1 página