@flowcuca

131 Publicaciones

1.44k Interacciones

10 Seguidores

1 Siguiendo

Lista de publicaciones de flowcuca

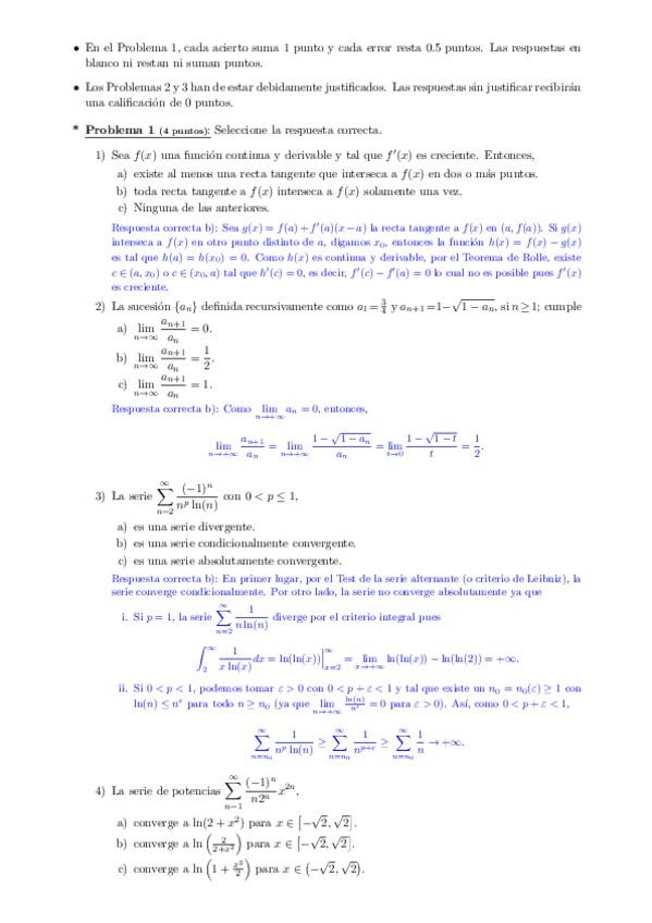
He publicado nuevos apuntes de 2º Metodos Matematicos Iii: Resumen-Ecuaciones-Diferenciales.pdf

1 página

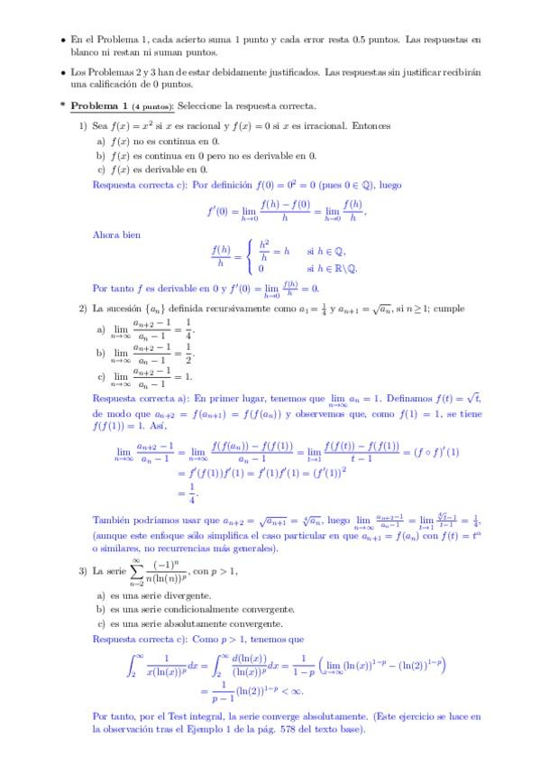
He publicado nuevos ejercicios de 2º Vibraciones y Ondas: Ejercicios-Tema-2.pdf

24 páginas

apuntes

-

Apuntes por temas

He publicado nuevos apuntes de 2º Metodos Matematicos Iii: Apuntes por temas

Apuntes-1.pdf
Apuntes-2.pdf
Apuntes-3.pdf

apuntes

-

Apuntes por temas

He publicado nuevos apuntes de 2º Vibraciones y Ondas: Apuntes por temas

Tema-2.pdf
Tema-1compressed.pdf

ejercicios

-

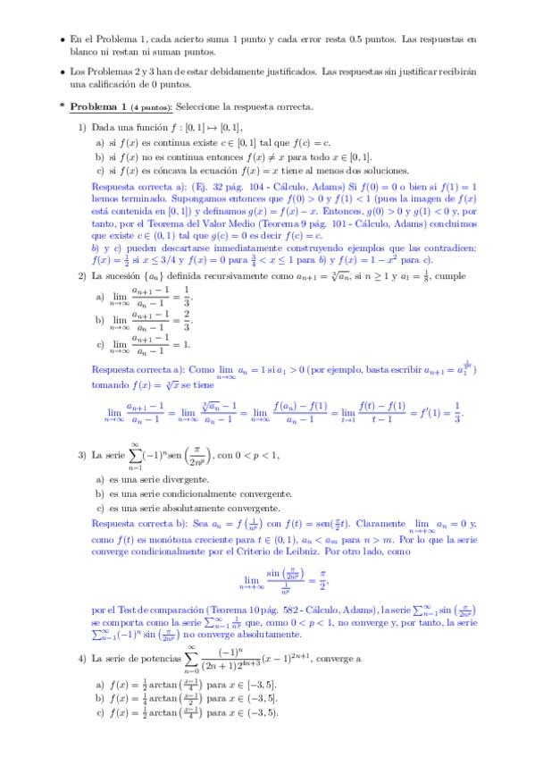
Problemas tutoría Tema 1 resueltos

He publicado nuevos ejercicios de 2º Vibraciones y Ondas: Problemas tutoría Tema 1 resueltos

TUTV4enunciadoproblemas.pdf.pdf
TUTV3enunciadoproblemas.pdf.pdf
TUTV2enunciadoproblemas.pdf.pdf
TUTV1problemasenunciado.pdf.pdf

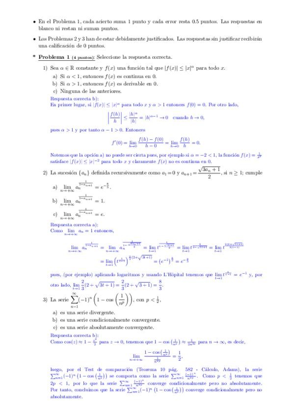
He publicado nuevos apuntes de 1º Análisis Matemático II: EsquemaCambioVariablesIntegrales.pdf

1 página

He publicado nuevos apuntes de 1º Análisis Matemático II: Teoremas-Integracion-Analisis-Vectorial.pdf

6 páginas

He publicado nuevos apuntes de 1º Análisis Matemático I: TrucosCalculoUNEDEsquemaMental.pdf

2 páginas

examenes

-

Exámenes resueltos

He publicado nuevos examenes de 2º Mecánica: Exámenes resueltos

seporigsol.pdf

He publicado nuevos examenes de 2º Electromagnetismo I: Modelo-de-prueba-presencial.pdf

3 páginas

apuntes

-

Exámenes resueltos

He publicado nuevos apuntes de 1º Análisis Matemático I: Exámenes resueltos

ExamenFinalN1sol.pdf
ExamenFinalNUEGui2sol.pdf
ExamenFinal2sol.pdf
ExamenFinal1sol.pdf
Nacional.pdf

He publicado nuevos apuntes de 2º Fundamentos de Fisica Iii: Apuntes-examen.pdf

19 páginas

He publicado nuevos pec de 2º Mecánica: Pec2.pdf

8 páginas

apuntes

-

Apuntes por temas

He publicado nuevos apuntes de 2º Electromagnetismo I: Apuntes por temas

Tema-8-Campo-Magnetico.pdf
Tema-7-Corriente-Electrica.pdf
Tema-6-Problemas-Electrostaticos.pdf
Tema-5-Energia-Electrostatica.pdf
Tema-4-Sistemas-De-Conductores.pdf
Tema-3-Dielectricos.pdf

apuntes

-

Apuntes por temas

He publicado nuevos apuntes de 2º Fundamentos de Fisica Iii: Apuntes por temas

Tema-8-Particulas-Elementales.pdf
Tema-7-Fisica-Nuclear.pdf
Tema-5-Solidos.pdf
Tema-6-Relatividad.pdf
Tema-4-Moleculas.pdf
Tema-3-Atomos.pdf

apuntes

-

Apuntes por temas

He publicado nuevos apuntes de 1º Fundamentos de Física I: Apuntes por temas

Tema-10-Ondulaciones-Y-Ondas.pdf
Tema-11-Termodinamica.pdf
Tema-9-Oscilaciones-Y-Ondas.pdf
Tema-8-Fluidos.pdf
Tema-7-Equilibrio-Estatico-Y-Elasticidad.pdf
Tema-6-Interaccion-Gravitatoria.pdf