@fofito27

Bio: Hola me llamo Andrea. He sido profesora en una academia durante 5 años y ahora trabajo como desarrollador web para una empresa en Alemania.

246 Publicaciones

5.25k Interacciones

70 Seguidores

2 Siguiendo

Lista de publicaciones de fofito27

He publicado nuevos otros de 2º ANIMACIÓN: Animacion-2024-UOC-Plan-Docente.pdf

10 páginas

He publicado nuevos otros de 2º ANIMACIÓN: Animacion-2024-Bienvenida.pdf

2 páginas

apuntes

-

ANE - Inicio de curso

Bloque 01 - Graficos 3D

Graficos-3D-2024-Bloque-01-ANE.pdf
Graficos-3D-2024-Bloque-01-ANE-Recursos-adicionales-interfaz-blender.pptx.pdf
Graficos-3D-2024-Bloque-01-ANE-Recursos-adicionales-navegacion-y-nodos-blender.pptx.pdf

He publicado nuevos otros de 2º Gráficos 3D: Graficos-3D-2024-Plan-Docente.pdf

12 páginas

He publicado nuevos otros de 2º Gráficos 3D: Graficos-3D-UOC-2024-Fechas-clave-asignatura.pdf

1 página

He publicado nuevos otros de 2º Gráficos 3D: Graficos-3D-UOC-2024-Bienvenida.pdf

1 página

apuntes

-

Fundamentos-fisicos-para-multimedia

He publicado nuevos apuntes de 2º Fundamentos Físicos de la Multimedia: Fundamentos-fisicos-para-multimedia

Fundamentos-fisicos-para-multimedia-libro.pdf
PAC1-Fundamentos-Fisicos-para-multimedia-enunciado.pdf

apuntes

-

Modulo-1-Diseño-y-proporcion

He publicado nuevos apuntes de 2º Fundamentos Matemáticos de la Multimedia: Modulo-1-Diseño-y-proporcion

Modulo-1-Diseno-y-proporcion.pdf

Apuntes de descartes de 2 de bachillerato

1 página

He publicado nuevos apuntes de Historia de España: esquemaresumensigloxviii.pdf

3 páginas

apuntes

-

COSAS IMPORTANTES SELECTIVIDAD

He publicado nuevos apuntes de Lengua Castellana y Literatura II: COSAS IMPORTANTES SELECTIVIDAD

CATEGORIASGRAMATICALES.pdf
Los-verbos.pdf

apuntes

-

SELECTIVIDAD 2020

He publicado nuevos apuntes de Lengua Castellana y Literatura II: SELECTIVIDAD 2020

AUTORES-Y-CONTEXTOS-DE-PRODUCCION.pdf
AUTORES-Y-CONTEXTOS-DE-PRODUCCION-1.pdf
POSTER-ENTRE-VISILLOS-VERSION-FINAL.png
SOLUCIONARIO-LA-NUEVA-NORMALIDAD.pdf
DOCUMENTO-DE-RECTA-FINAL.pdf
Guia-rapida-de-repaso.pdf

He publicado nuevos apuntes de Historia de España: resumencrisisrestauracion.pdf

4 páginas

He publicado nuevos apuntes de Historia del Arte: principales-estilos-artisticos.pdf

6 páginas

apuntes

-

HISTORIA PAU RESÚMENES

He publicado nuevos apuntes de Historia de España: HISTORIA PAU RESÚMENES

transformaciones-siglo-XIX.pdf
franquismo.pdf
Ejes-cronologicos-Espana-1700-2011.pdf
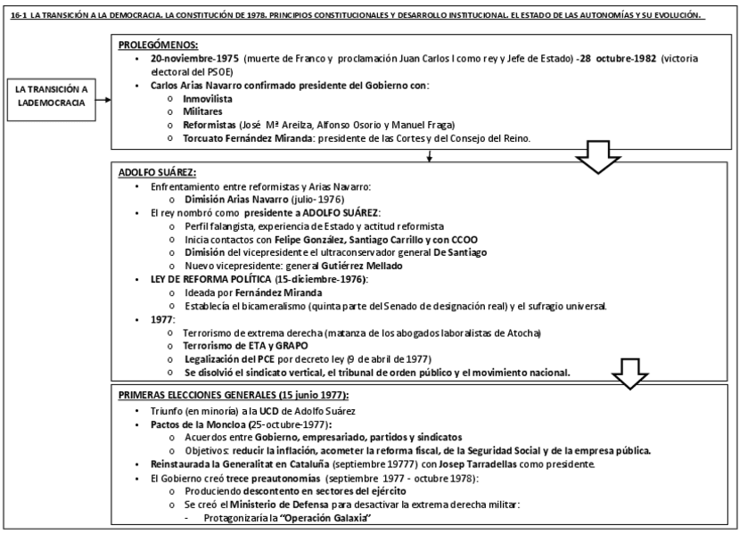
transicion-democratica.pdf
esquema-siglo-xx-hasta-la-guerra.pdf

apuntes

-

VALENCIANO PAU

He publicado nuevos apuntes de Lengua Valenciana y Literatura II: VALENCIANO PAU

02-Enric-Valor.pdf
06-Poesia-de-la-postguerra-als-70.pdf
05-Monzo.pdf
15-Valora-la-repercussio-de-JF.pdf
04-Narrativa-70-actualitat.pdf
03-M.pdf