@Franto_24

Bio: Pa lo que querais

25 Publicaciones

916 Interacciones

0 Seguidores

0 Siguiendo

Lista de publicaciones de Franto_24

He publicado nuevos apuntes de 4º Estructuras de Hormigón: Todoslostesthormigon.pdf

pdf

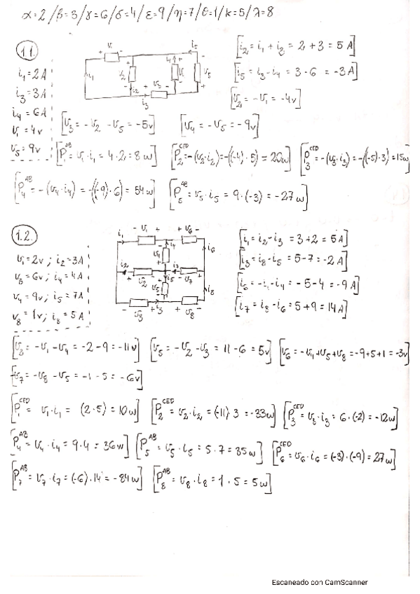
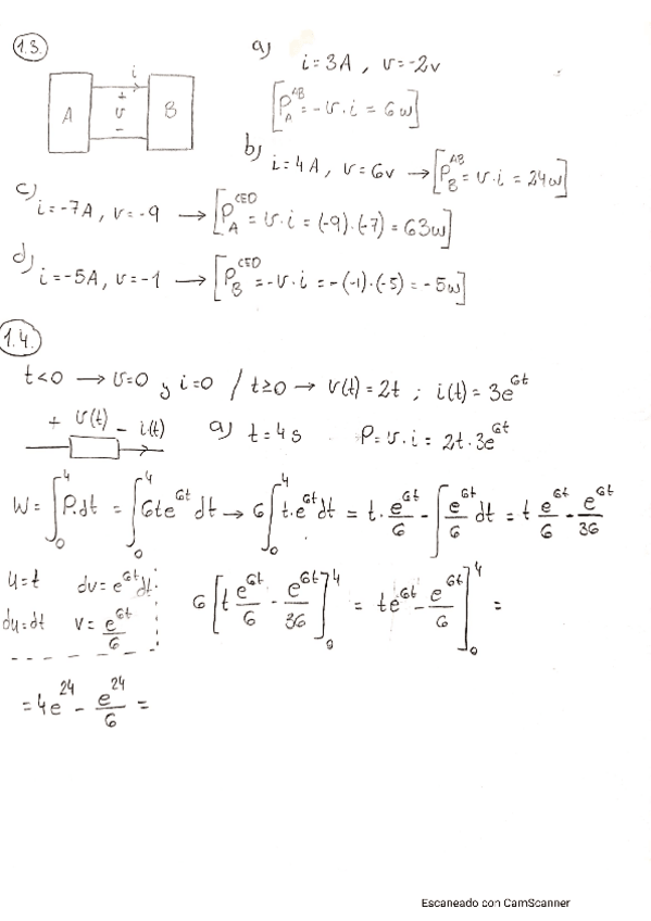
He publicado nuevos apuntes de 2º Fundamentos de Ingeniería Eléctrica: Ejercicios-app-FIE-completo.pdf

89 páginas

practicas

-

Prácticas de topografía

Prácticas resueltas de topografía

Practica-2-1.pdf
Practica-2-2.pdf
practica-4-3.pdf
Practica-6-1-y-6-2.pdf
Practica-4-2.pdf
Practica-4-5.pdf