@franx_96

17 Publicaciones

336 Interacciones

1 Seguidores

2 Siguiendo

Lista de publicaciones de franx_96

He publicado nuevos examenes de 3º Redes Multimedia: Parcial-1-Resuelto-Redes-Multimedia.pdf

3 páginas

He publicado nuevos ejercicios de 3º Redes Multimedia: Entregable-2-Redes-Multimedia.pdf

1 página

He publicado nuevos apuntes de 3º Redes Multimedia: Resumen-Tema-2-Redes-Multimedia.pdf

2 páginas

He publicado nuevos ejercicios de 3º Redes Multimedia: Problemas-Redes-Multimedia-1.pdf

14 páginas

He publicado nuevos ejercicios de 3º Redes Multimedia: Problemas-Redes-Multimedia-2.pdf

17 páginas

He publicado nuevos apuntes de 3º Ingeniería de sistemas de vídeo: Resumenes-Temas-1-3-Video.pdf

4 páginas

He publicado nuevos apuntes de 3º Ingeniería de sistemas de vídeo: Resumen-Tema-11-Video.pdf

2 páginas

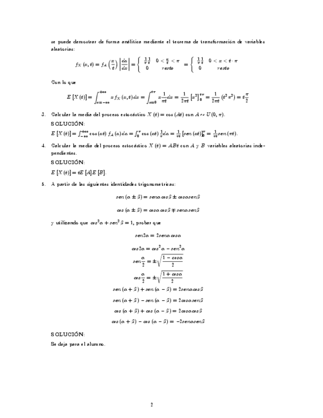
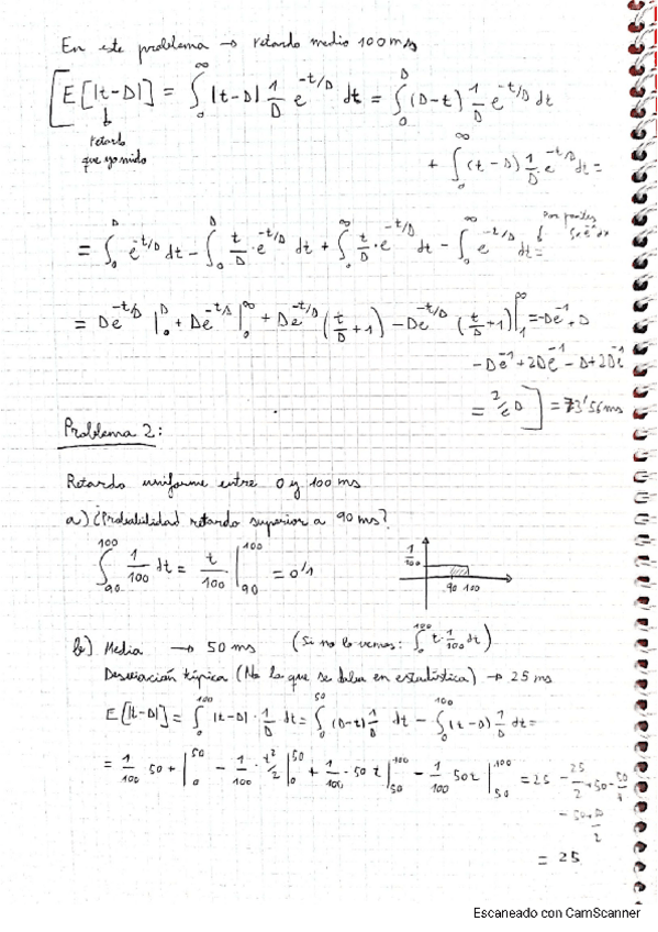
He publicado nuevos ejercicios de 1º Estadística: Procesos-Estocasticos-Ejercicios-con-Soluciones.pdf

9 páginas

He publicado nuevos ejercicios de 3º Ingeniería de sistemas de vídeo: Ejercicios-temas-1-a-4-con-soluciones.pdf

26 páginas

He publicado nuevos apuntes de 3º Tratamiento digital de la imagen: Ejercicios-Tema-3-con-Soluciones.pdf

10 páginas

He publicado nuevos ejercicios de 3º Tratamiento digital de la imagen: Ejercicios-Tema-2-con-Soluciones.pdf

20 páginas

He publicado nuevos examenes de 1º Programación de Sistemas: Examen-Final-2017-Problemas-Resueltos.pdf

9 páginas

He publicado nuevos apuntes de 2º Campos Electromágneticos: Formulario-Acustica.pdf

3 páginas

He publicado nuevos apuntes de 2º Análisis y Diseño de Circuitos: Formulas-ADC.pdf

6 páginas

He publicado nuevos test de 4º Proyectos, normativa y política de telecomunicaciones: Parcial-Normativa-No-Resuelto.pdf

6 páginas

He publicado nuevos test de 4º Proyectos, normativa y política de telecomunicaciones: Preguntas-Test-Normativa-y-Proyectos-2-Resuelto.pdf

4 páginas

He publicado nuevos test de 4º Proyectos, normativa y política de telecomunicaciones: Preguntas-Test-Normativa-y-Proyectos-1-Resuelto.pdf

36 páginas