@FYCO_Y_ADE

Estudios: Bachillerato ...Mostrar más

42 Publicaciones

324 Interacciones

2 Seguidores

4 Siguiendo

Lista de publicaciones de FYCO_Y_ADE

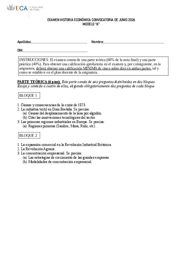
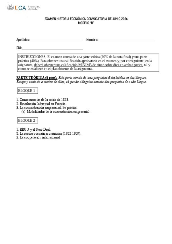
He publicado nuevos examenes de 1º Introducción al Marketing: tema-8-la-distribucion-FYCO-DESARROLLO.pdf

1 página

Hola chicossss, he tenido la oportunidad de enterarme más o menos de las calificaciones de vuestro primer parcial de #Microeconomía, a los que habéis aprobado/sacado nota quería preguntaros: ¿cuánto os han servido las preguntas que he publicado en mi perfil? Si os interesa responded a este post porfi!! Mucha suerte con la carrera. :D

He publicado nuevos examenes de 1º Introducción al Marketing: tema-6-la-marca-y-el-envase-DESARROLLO-IMK-FYCO.pdf

1 página

He publicado nuevos examenes de 1º Introducción al Marketing: PREGUNTAS-DE-DESARROLLO-IMK-FYCO-TEMA-1.pdf

2 páginas

He publicado nuevos examenes de 1º Introducción al Marketing: tema-2-el-mercado-IMK-FYCO-DESARROLLO.pdf

1 página

He publicado nuevos examenes de 1º Introducción al Marketing: tema-5-el-producto-IMK-FYCO-DESARROLLO.pdf

1 página

Test Microeconomía UCA

https://www.daypo.com/microeconomia-uca.html#test

A partir de aquí ya podeis quedaros tranquilos con respecto a las preguntas de desarrollo de vuestro primer parcial de micro, mucha suerte!!

1 página

Apuntes de clase del tema 5 resumidos en 1 carilla y pico

2 páginas

Solo faltarían las cuestiones del tema 4, que son solo dos, en breve las subiré. Ánimo y suerte a todos con el parcial, vais a bordarlo!!!

3 páginas

AVISO: en breve subiré todas las posibles cuestiones teóricas que podrían caer del tema 3 en Microeconomía. Si os estudiáis los 3 documentos que he subido (es decir, las cuestiones de los 3 primeros temas), ya tendriais la parte de teoria a desarrollar totalmente cubierta para vuestro primer parcial. Ánimo!! :D

He publicado nuevos examenes de 1º Introducción a las Finanzas Empresariales: EXAMEN-FINAL-IFE-2025-FYCO.pdf

2 páginas

Apuntes de clase del tema 4 resumidos en 1 carilla

1 página

Apuntes de clase del tema 3 resumidos en media carilla

1 página

Tema 2 resumido en 2 carillas con todo lo importante.

2 páginas

Aquí encontrarás todas las posibles preguntas teóricas del tema 2 que podrían salir en el primer parcial de Microeconomía.

1 página

Aquí están todas las posibles preguntas teóricas del tema 1 que saldrán en el primer parcial de Microeconomía.

2 páginas

He publicado nuevos examenes de 1º Derecho Empresarial I: EXAMEN-CAMPUS-VIRTUAL-20-DE-LA-NOTA-DE-DERECHO-CIVIL.jpg

Imagen

He publicado nuevos examenes de 1º Derecho Empresarial I: Screenshot20251103195723Chrome.jpg

Imagen

He publicado nuevos examenes de 1º Derecho Empresarial I: Screenshot20251103195654Chrome.jpg

Imagen