@g_____

71 Publicaciones

1.46k Interacciones

10 Seguidores

1 Siguiendo

Lista de publicaciones de g_____

He publicado nuevos apuntes de 3º Ingeniería de Software: Gitflow.pdf

6 páginas

He publicado nuevos apuntes de 2º Fundamentos de Aplicaciones y Servicios Telemáticos: Temario-Completo-FAST.pdf

69 páginas

He publicado nuevos apuntes de 1º Fundamentos de Programación II: Apuntes-Completos-FP2.pdf

113 páginas

He publicado nuevos apuntes de 2º Teoría de la Comunicación: resumen-temas-1-4.pdf

6 páginas

He publicado nuevos apuntes de 2º Propagación de Ondas: Tema-5-Ondas-Guiadas.pdf

7 páginas

He publicado nuevos apuntes de 2º Propagación de Ondas: Tema-3-Reflexion-Transmision-Y-Refraccion-De-OPH-2.pdf

13 páginas

He publicado nuevos apuntes de 2º Propagación de Ondas: Tema-4-Campos-Electromagneticos-En-Conductores.pdf

7 páginas

apuntes

-

Temario completo

He publicado nuevos apuntes de 2º Teoría de la Comunicación: Temario completo

Tema-1-Introduccion.pdf
Tema-2-Analisis-De-Senales-Deterministas.pdf
Tema-3-Modulaciones-Analogicas..pdf

apuntes

-

Apuntes

He publicado nuevos apuntes de 2º Propagación de Ondas: Apuntes

Tema-2-Ondas-Planas-Homogeneas.pdf
Tema-1-Introduccion-A-La-Electrodinamica.pdf
Tema-3-Reflexion-Transmision-Y-Refraccion-De-OPH.pdf

apuntes

-

Apuntes

He publicado nuevos apuntes de 2º Control Automático: Apuntes

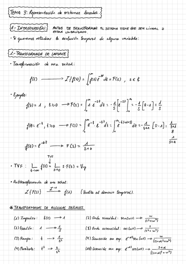
Tema-3-Representacion-De-Sistemas-Lineales.pdf
Temas-1-y-2-Representacion-Y-Modelado-De-Sistemas-Dinamicos.pdf
Tema-4-Respuesta-Temporal.pdf
Tema-5-Sistemas-De-Control-Por-Realimentacion.pdf
Tema-6-Control-PID.pdf

apuntes

-

Apuntes

He publicado nuevos apuntes de 2º Fundamentos de Internet: Apuntes

Tema-2-Introduccion-A-La-Capa-De-Aplicacion.pdf
Tema-1-Introduccion-Al-Funcionamiento-De-Las-Redes.pdf
Tema-3-La-Capa-De-Transporte.pdf
Tema-4La-Capa-De-Red.pdf

apuntes

-

Apuntes

He publicado nuevos apuntes de 2º Señales y Sistemas: Apuntes

Tema-1-Senales-Y-Sistemas-Continuos.pdf
Tema-2-Sistemas-Lineales-e-Invariantes-en-el-Tiempo.pdf
Tema-6-Correlacion-Y-Densidad-Espectral.pdf
Tema-8-Senales-Y-Sistemas-Discretos.pdf
Tema-7-Conceptos-Basicos-De-Muestreo.pdf
Tema-4-Transformada-De-Fourier.pdf

apuntes

-

Apuntes con ejemplos

He publicado nuevos apuntes de 2º Electrónica Básica: Apuntes con ejemplos

Tema-5-Amplificadores-Multietapa.pdf
Tema-7-Realimentacion-Y-Estabilidad.pdf
Tema-3-Circuitos-De-Polarizacion.pdf
Tema-4-Amplificadores-Monoetapa.pdf
Tema-6-Comportamiento-Frecuencial.pdf
Tema-8-Amplificador-Operacional.pdf

ejercicios

-

Ejercicios

He publicado nuevos ejercicios de 2º Fundamentos de Internet: Ejercicios

Ejercicios-Parcial-1-Parte-1.pdf

ejercicios

-

Boletines resueltos

He publicado nuevos ejercicios de 2º Electrónica Básica: Boletines resueltos

Boletin-2-Resuelto.pdf
Boletin-3.pdf