@galletalotus

Estudios: Grado en Ingeniería Aeroespacial (US) ...Mostrar más

20 Publicaciones

231 Interacciones

0 Seguidores

0 Siguiendo

Lista de publicaciones de galletalotus

He publicado nuevos test de 3º Fundamentos de Propulsión: Test-Aerorreactores.pdf

15 páginas

apuntes

-

Boletines electrotecnia 24/25

He publicado nuevos apuntes de 2º Electrotecnia: Boletines electrotecnia 24/25

T6.pdf
T5.pdf
T8.pdf
T3..pdf
T7.pdf
T4.pdf

ejercicios

-

Problemas boletines estadística

He publicado nuevos ejercicios de 2º Estadística e Investigación Operativa: Problemas boletines estadística

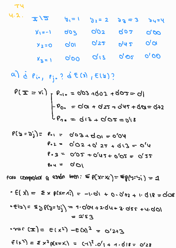
T4.pdf
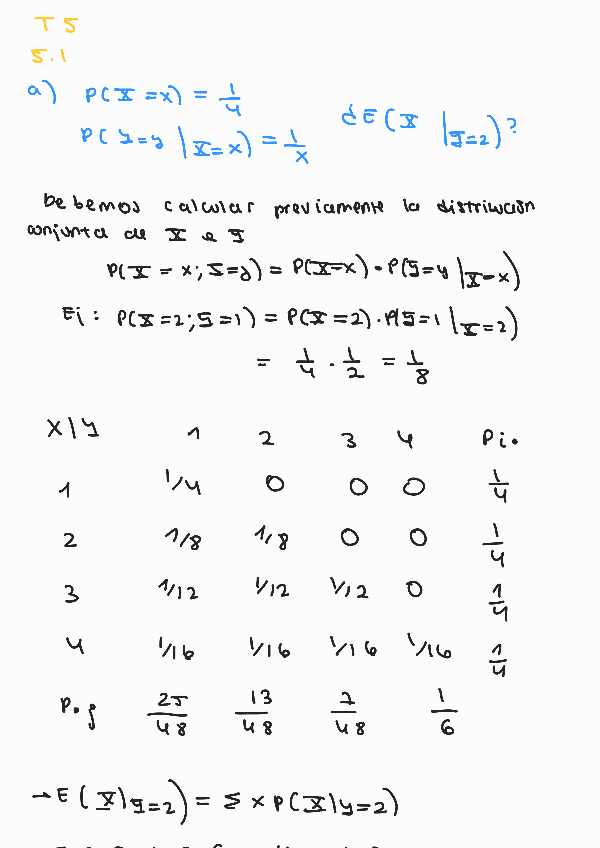
T5-Estadistica250625113836.pdf
Estadistica-T325062.pdf
T2-estadistica.pdf

ejercicios

-

Boletin resuelto T12

He publicado nuevos ejercicios de 2º Ciencia y Tecnología de Materiales Aeroespaciales: Boletin resuelto T12

T12.pdf
ProblemasTema12-PropiedadesMecanicas.pdf

ejercicios

-

Ej boletín T18

He publicado nuevos ejercicios de 2º Ciencia y Tecnología de Materiales Aeroespaciales: Ej boletín T18

ProblemasTema18-Corrosion.pdf
T18-CTMMAA.pdf

ejercicios

-

Boletin resuelto tema 14

He publicado nuevos ejercicios de 2º Ciencia y Tecnología de Materiales Aeroespaciales: Boletin resuelto tema 14

ProblemasTema14-PropiedadesElectricas.pdf
T14.pdf

He publicado nuevos ejercicios de 2º Ciencia y Tecnología de Materiales Aeroespaciales: ProblemasTema15-16-Aleaciones-enunciados.pdf

4 páginas

Ej tema 15-16 resueltos clase

12 páginas