@Gandul

Bio: ¿Necesitas salvar tu curso? ¡Estoy aquí para ayudarte! Soy especialista en crear los mejores apuntes para que puedas aprobar todas tus materias sin problemas. Con mis recursos de estudio, muchos estudiantes ya han alcanzado el éxito académico, y tú puedes ser el próximo.

78 Publicaciones

529 Interacciones

0 Seguidores

1 Siguiendo

Lista de publicaciones de Gandul

Apuntes de Sergio Plaza Cerezo 2025?

Sergio Plaza APUNTES O EXAME FINAL

Tengo a Sergio Plaza este 2º cuatrimestre de 2025 y literalmente habla de lo que le da la gana y empieza a soltar datos por doquier. Alguien me puede echar una mano de cara a apuntes o al examen final?. Si sabéis cualquier cosa o me decís como os ha ido mejor.

apuntes

-

TEMARIO COMPLETO

He publicado nuevos apuntes de 1º Introducción a la Economía: TEMARIO COMPLETO

T1.pdf
T2.pdf
T3.pdf
T4.pdf
T5.pdf
T6.pdf

apuntes

-

EJERCICIOS

He publicado nuevos apuntes de 1º Fundamentos de administración financiera de la empresa: EJERCICIOS

05FAFEEjercicios-Flujo-de-caja-DEF.pdf
06FAFEEjercicios-Herramientas.pdf
08FAFEEjercicios.pdf
02FAFEEjercicios-valor-temporal-del-dinero.pdf
03FAFEEjercicios-Analisis-de-los-proyectos-de-inversion.pdf
04FAFEEjercicios-FM.pdf

apuntes

-

TEMARIO RESUMIDO DIAPOSITIVAS

No es todo el contenido que entra en el examen pero es suficiente para aprobar

01FAFEVision-General-de-las-Finanzas-de-Empresa.pdf
02FAFEValor-temporal-del-dinero.pdf
03FAFEAnalisis-de-los-proyectos-de-inversion.pdf
04FAFELa-gestion-del-fondo-de-maniobra.pdf
05FAFELa-importancia-del-flujo-de-caja.pdf
06FAFEHerramientas-para-la-gestion-de-empresas.pdf

He publicado nuevos apuntes de 1º Fundamentos de administración financiera de la empresa: FORMULARIO-Y-RESUMEN-FAFE.pdf

19 páginas

apuntes

-

PRACTICAS RESUELTAS

He publicado nuevos apuntes de 1º Microeconomía: PRACTICAS RESUELTAS

Practicas-Tema-4.-Ejercicios-para-casaSolciones.pdf
Practicas-Test-Tema-1Soluciones.pdf
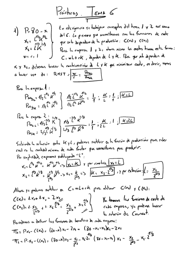
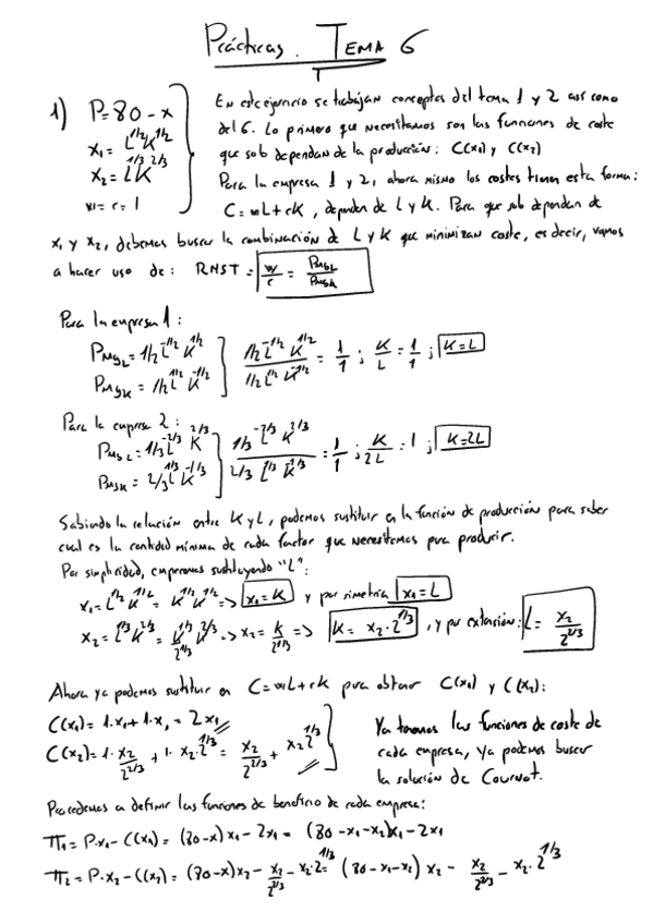
Practicas-Solucionespracticastema6.pdf
Practicas-Ejercicios-resueltos-Tema-3.pdf
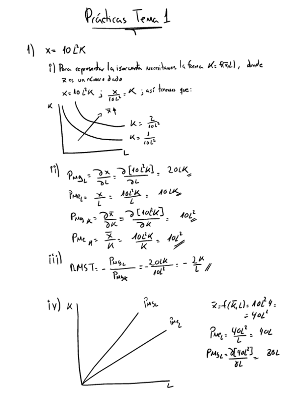
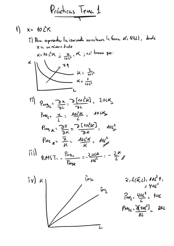
Practicas-Tema-1.pdf
Practicas-Tema-1-Soluciones.pdf