@Garcia97

24 Publicaciones

1.42k Interacciones

0 Seguidores

0 Siguiendo

Lista de publicaciones de Garcia97

He publicado nuevos apuntes de 4º Análisis y Control de Costes: tema-5-acc.pdf

6 páginas

He publicado nuevos apuntes de 4º Análisis y Control de Costes: tema-3-acc.pdf

8 páginas

He publicado nuevos apuntes de 4º Análisis y Control de Costes: tema-7-acc.pdf

9 páginas

He publicado nuevos examenes de 2º Macroeconomía: examen macro(5).pdf

3 páginas

He publicado nuevos examenes de 2º Macroeconomía: examen macro (6).pdf

7 páginas

He publicado nuevos examenes de 2º Macroeconomía: macro(10).pdf

6 páginas

He publicado nuevos examenes de 1º Introducción al Marketing: NuevoDocumento 2017-10-13_1.jpg

Imagen

He publicado nuevos apuntes de 2º Contabilidad Financiera I: cf1 relacion 2_1.jpg

Imagen

He publicado nuevos examenes de 2º Contabilidad Financiera I: CF1 RELACION 1.pdf

7 páginas

He publicado nuevos examenes de 2º Macroeconomía: examen macro(4).pdf

7 páginas

He publicado nuevos examenes de 2º Macroeconomía: macro(9).pdf

6 páginas

He publicado nuevos examenes de 2º Macroeconomía: examen macro (7).pdf

6 páginas

He publicado nuevos examenes de 2º Contabilidad Financiera I: CF1 RELACION 1_1.jpg

Imagen

He publicado nuevos examenes de 2º Contabilidad Financiera I: cf1 relacion 2.pdf

5 páginas

He publicado nuevos apuntes de 2º Contabilidad Financiera I: Financiera I - Ejercicios del final resueltos (3).pdf

20 páginas

He publicado nuevos examenes de 2º Macroeconomía: macro(8).pdf

6 páginas

He publicado nuevos examenes de 2º Macroeconomía: PARCIAL MACRO.pdf

7 páginas

He publicado nuevos examenes de 2º Contabilidad Financiera I: Cf1 R3.pdf

2 páginas

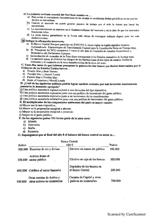
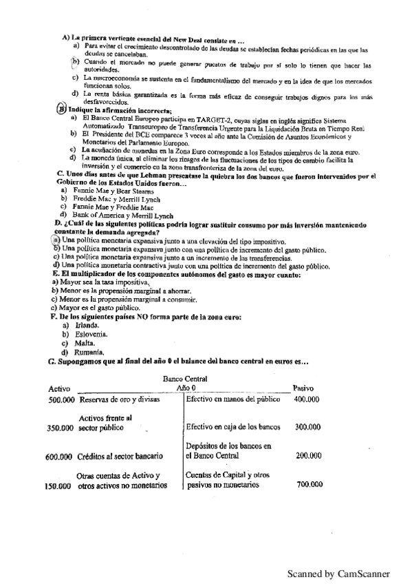
He publicado nuevos examenes de 2º Macroeconomía: Examen Macro.pdf

8 páginas

He publicado nuevos examenes de 2º Macroeconomía: examen macro (3).pdf

6 páginas