@Garrasta

29 Publicaciones

633 Interacciones

1 Seguidores

0 Siguiendo

Lista de publicaciones de Garrasta

He publicado nuevos examenes de 3º Electrónica Física: Ejercicios-de-examenes.pdf

70 páginas

He publicado nuevos examenes de 3º Electrodinámica Clásica: Test-2-Grupo-1-2023.pdf

1 página

He publicado nuevos examenes de 3º Electrodinámica Clásica: Test-1-2324-Grupo-1.pdf

1 página

apuntes

-

Notas de clase TERMO

Os subo mis notas tomadas en clase, sobre las diapositivas de cada lección. Mucha suerte!!

main-2221011123230.pdf
3221108114905.pdf
T4230108171200.pdf
T4-2a-parte221222091245.pdf
main220921175955.pdf
T7230503114456.pdf

#MecánicayOndas #MyO

62 páginas

He publicado nuevos apuntes de 2º Mecánica y Ondas: Memoria-P8-NOTA-10.pdf

15 páginas

ejercicios

-

Ejercicios y Exámenes Resueltos Criado

He publicado nuevos ejercicios de 2º Mecánica y Ondas: Ejercicios y Exámenes Resueltos Criado

EXAMENES-230121185053.pdf
T1-Casa230112211854.pdf
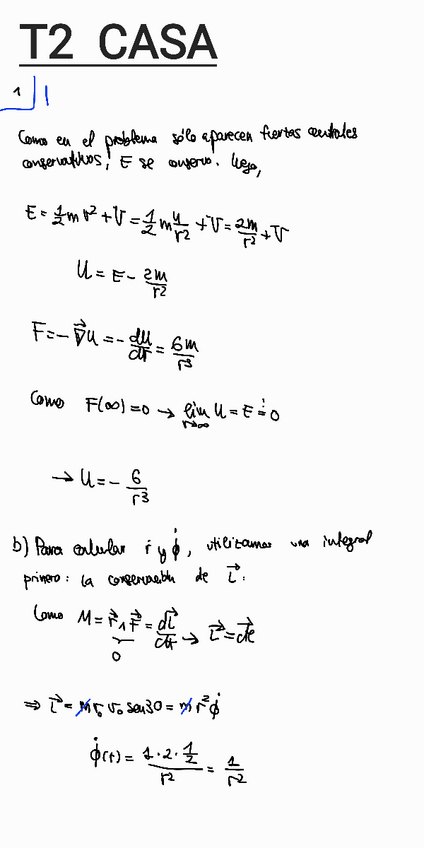
T-2-CASA230123181505.pdf
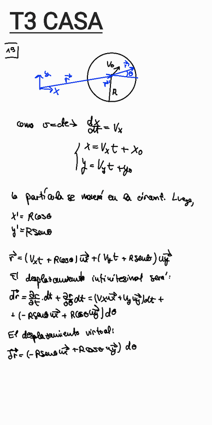
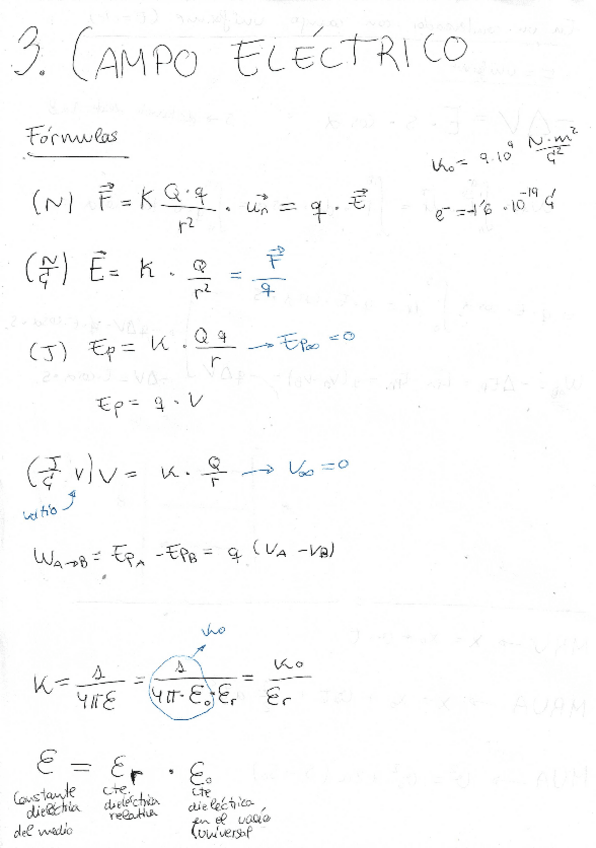
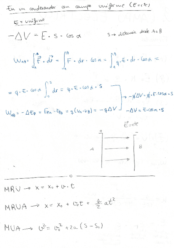
T3-CASA230122185354.pdf

apuntes

-

Teoría 1er cuatri Criado

Los apuntes han sido completados con el Taylor y el Goldstein

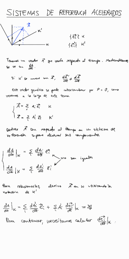
Sistemas-de-referencia-acelerados.pdf
Principios-de-la-mecanica-clasica.pdf
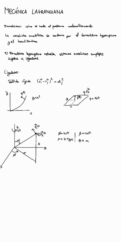
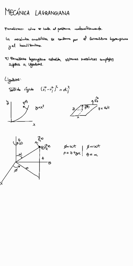
Mecanica-Lagrangiana.pdf
Fuerzas-centrales-El-problema-de-los-dos.pdf

apuntes

-

Teoría termo 1er cuatri

He publicado nuevos apuntes de 2º Termodinámica: Teoría termo 1er cuatri

T1220922122401.pdf
2-Mecanica-Trabajo-y-Energia-221013163121.pdf
3-Ecuaciones-de-estado-221231193738.pdf
4-Temperatura-y-Entropia230104204540.pdf

Bachillerato de Ciencias y Tecnología

9 páginas