@gaTo_xas

Estudios: Bachillerato

11 Publicaciones

28 Interacciones

1 Seguidores

4 Siguiendo

Lista de publicaciones de gaTo_xas

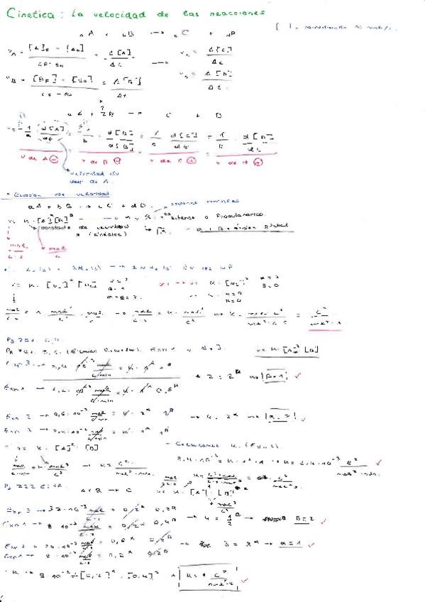
He publicado nuevos apuntes de 2º Química: Cinetica-Quimica202602130001.pdf

2 páginas

He publicado nuevos apuntes de 2º Química: Equilibrio-quimico202602130001.pdf

11 páginas

He publicado nuevos apuntes de 2º Física: Campo-Electrico202602130001.pdf

21 páginas

apuntes

-

Bloque 1: Matematicas II

Material Bloque 1 Matematicas II (Limites, derivadas y Optimizacion)

Aplicaciones-de-derivadas.pdf
Apuntes-4.pdf
Optimizacion-1.pdf

apuntes

-

Fisica

Carpeta Fisica 2 de Bachillerato

Apuntes-Teorico-3.pdf
Ejercicios-PAU.pdf

apuntes

-

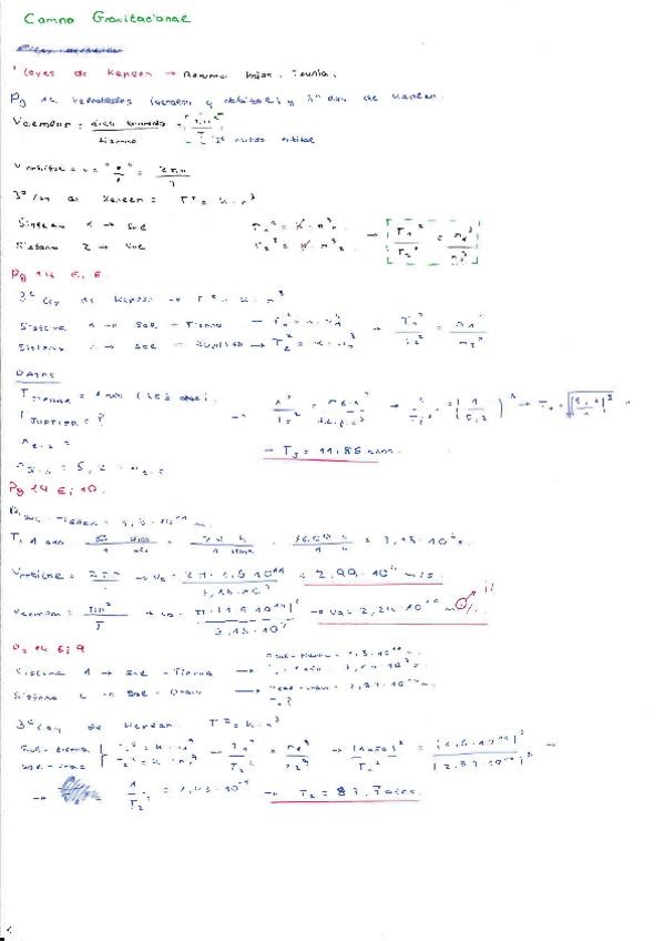
Fisica Campo Gravitatorio

Teoria Completa Campo Gravitatorio PAU 25-26

Teoria-3.pdf

Apuntes de Campo Gravitacional 25-26 Parte 1

5 páginas

Apuntes de Campo Gravitacional 25-26 Parte 1

12 páginas