@GIBUPV

149 Publicaciones

8.34k Interacciones

8 Seguidores

2 Siguiendo

Lista de publicaciones de GIBUPV

apuntes

-

EXAMENES RESUELTOS ULTIMOS AÑOS

He publicado nuevos apuntes de 2º Matemáticas III: EXAMENES RESUELTOS ULTIMOS AÑOS

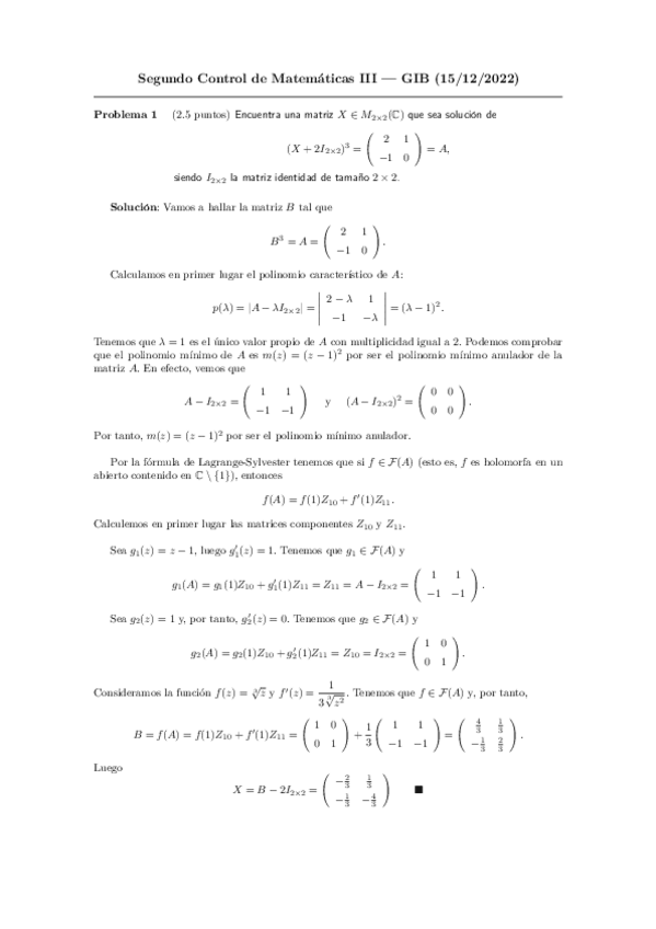
control2GIB2022.pdf
control2GIB2021.pdf
Parcial-2B-2021.pdf
Parcial-2A-2021.pdf
Parcial2B2020.pdf
Parcial2A2020.pdf

He publicado nuevos apuntes de 2º Ingeniería clínica y gestión hospitalaria: Bateria-preguntas-test-con-respuestas.pdf

16 páginas

He publicado nuevos examenes de 3º BIOTECNOLOGÍA Y NANOTECNOLOGÍA: RespuestasExamen-final-Biotec-2021.pdf

4 páginas

examenes

-

EXAMENES Y CUESTIONES

He publicado nuevos examenes de 2º Empresa y economía: EXAMENES Y CUESTIONES

test-3-empresa.pdf
test-2-empresa.pdf
TEST-T9.pdf
TEST-T4.pdf
test-1-empresa.pdf
2o-parcial-empresa-modelo-test-completo.pdf

examenes

-

PREGUNTAS EXAMEN

He publicado nuevos examenes de 3º Técnicas de imágenes biomédicas: PREGUNTAS EXAMEN

RECOPILACION-PREGUNTAS-DESARROLLO-RESUELTAS.pdf
DESARROLLO-TAC.pdf
PREGUNTAS-V-F-TECNICAS.pdf
Recopilacionpreguntas1.pdf

He publicado nuevos examenes de 3º Biomateriales: Examen-13067-2021-22solucion.pdf

7 páginas

He publicado nuevos examenes de 3º Biomateriales: RECOPILACION-PREGUNTAS-BIOMAT-SEGUNDO-PARCIAL.pdf

2 páginas

examenes

-

EXAMENES RESUELTOS 2P

He publicado nuevos examenes de 2º Estadística: EXAMENES RESUELTOS 2P

2-PARCIAL-2.pdf
2-PARCIAL-1.pdf
Examen-2P-2017.pdf
final-2019.pdf

examenes

-

EXAMEN PRACTICAS

He publicado nuevos examenes de 2º Estadística: EXAMEN PRACTICAS

PREGUNTA-2-PRACTICAS.pdf
PREGUNTA-3-PRACTICAS.pdf
PREGUNTA-1-PRACTICAS.pdf
FinalP2practEstGIB3-02-22.pdf

examenes

-

AUTOEVALUACIONES 2 PARCIAL

He publicado nuevos examenes de 2º Estadística: AUTOEVALUACIONES 2 PARCIAL

INFERENCIA-FRECUENCIAS.pdf
INFERENCIA-NORMAL.pdf
ANOVA.pdf
soluciones-regresion-test.pdf