@GIETnooblegend

Bio: Estudio GIET en la UV y estaré subiendo mis apuntes. Como cualquier apunte puede tener cosas mal, asi que ya sabes

122 Publicaciones

2.49k Interacciones

1 Seguidores

0 Siguiendo

Lista de publicaciones de GIETnooblegend

apuntes

-

Teoría

He publicado nuevos apuntes de 3º Tratamiento Digital de Señales: Teoría

T2.pdf
T32.pdf
T33.pdf
Miniatura no disponible
T1yT3-1.zip

apuntes

-

Repaso Examen

He publicado nuevos apuntes de 3º Dinámica y Control: Repaso Examen

Practica-3-parcial.pdf
Formulas-Importantes.pdf

He publicado nuevos apuntes de 3º Instrumentación y Equipos Electrónicos: Formulas-Importantes.pdf

4 páginas

apuntes

-

Proyecto

He publicado nuevos apuntes de 3º Gestión de Proyectos: Proyecto

MemoriaProyecto.pdf

ejercicios

-

Practica Examen

He publicado nuevos ejercicios de 3º Tratamiento Digital de Señales: Practica Examen

Formulas.pdf
Practica-Examen1.pdf
Practica-Examen2.pdf

ejercicios

-

Problemas y Boletines

He publicado nuevos ejercicios de 3º Tratamiento Digital de Señales: Problemas y Boletines

Boletin-Conocimientos-Previos.pdf
Boletin-de-problemas-3.pdf
Problemas-Tema-1.pdf
Problemas-Tema-2.pdf
Problemas-Tema-3.pdf

apuntes

-

Tareas

He publicado nuevos apuntes de 3º Tratamiento Digital de Señales: Tareas

Algoritmos.pdf
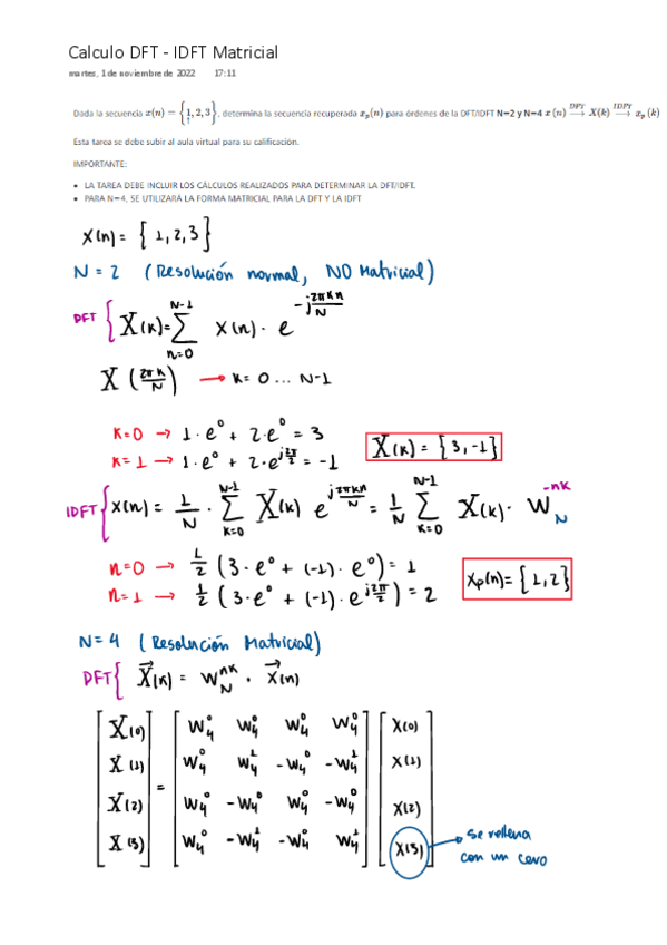
DFT-IDFT-Matriz.pdf
DFT-IDFT.pdf
Filtrado-Secuencias.pdf

trabajos

-

Proyecto SET

He publicado nuevos trabajos de 3º Sistemas electrónicos de telecomunicación: Proyecto SET

CalculoDimensionesantena.xlsx
Miniatura no disponible
Optimizaciondisenyoantena.nec
Miniatura no disponible
PresentacionProyecto.pptx
PropuestaProyecto.pdf
Miniatura no disponible
AntenaYagi10.2-dBi2450MHz.nec

apuntes

-

Boletines SEM

He publicado nuevos apuntes de 3º Sistemas electrónicos multimedia: Boletines SEM

Boletin-Tema-6-1.pdf
Boletin-Tema-5-1.pdf
Boletin-Tema-4-3.pdf
Boletin-Tema-4-2.pdf
Boletin-Tema-4-1.pdf
Boletin-Tema-3-2.pdf

apuntes

-

Teoria SEM

He publicado nuevos apuntes de 3º Sistemas electrónicos multimedia: Teoria SEM

Tema-8-2-Vision-Artificial.pdf
Tema-8-1-Luz-e-iluminacion.pdf
Tema-7-Efectos-de-audio-digital.pdf
Tema-6-1-Sobremuestreo.pdf
Tema-5-1-Proceso-de-reproduccion.pdf
Tema-4-3-SH-ADC-y-Jitter.pdf