@GlezFdez

Estudios: Grado en Ingeniería Informática (ULe) ...Mostrar más

224 Publicaciones

3.43k Interacciones

1 Seguidores

3 Siguiendo

Lista de publicaciones de GlezFdez

He publicado nuevos apuntes de 1º Informática: DataStructure4.pdf

4 páginas

He publicado nuevos apuntes de 1º Cálculo Diferencial e Integral: alggrafost2.pdf

1 página

He publicado nuevos apuntes de 1º Álgebra Lineal y Geometría: tema4algbr.pdf

3 páginas

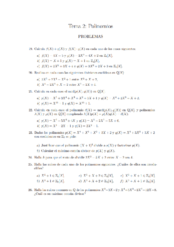
He publicado nuevos apuntes de 1º Álgebra Lineal y Geometría: tema2algbr.pdf

3 páginas

He publicado nuevos examenes de 2º Ampliación de Sistemas Operativos: EXAMENESTEORIAASSOORESUELTOS.pdf

5 páginas

He publicado nuevos examenes de 2º Sistemas de Información I: SIApuntesSolucionesPracticas.zip

zip

He publicado nuevos apuntes de 2º Bases de Datos: ResumenesBASESDEDATOS.pdf

15 páginas

He publicado nuevos apuntes de 2º Sistemas Operativos: ApuntesEjerciciosSO.zip

zip

He publicado nuevos apuntes de 2º Ampliación de Sistemas Operativos: ApuntesASSOO.zip

zip

He publicado nuevos apuntes de 2º Algoritmos y Grafos: RESUMENESEJERCICIOSAlgoritmosandGrafos.zip

zip

He publicado nuevos practicas de 2º Ampliación de Sistemas Operativos: PracticaFinalASSOO.zip

zip

He publicado nuevos examenes de 2º Ampliación de Sistemas Operativos: EXAMENESPRACTICOSASSOORESUELTOS.zip

Miniatura no disponible
zip