@glochemistry_s

Bio: Estudiante de química ugr

56 Publicaciones

921 Interacciones

2 Seguidores

0 Siguiendo

Lista de publicaciones de glochemistry_s

apuntes

-

APUNTES BIOQUÍMICA COMPLETA

Temas del 1 al 18.

BIOQUIMICA-3-PARCIAL-RESUMEN-ESTUDIAR.pdf
Tema-1-apuntes.pdf
Tema-2-apuntes.pdf
Tema-3-apuntes.pdf
Tema-4-apuntes.pdf
Tema-5-apuntes.pdf

He publicado nuevos test de 2º Química Analítica I: quimica-analitica-test-resueltos-1-9de-todos-los-temas.docx

word

Preguntas teoricas que han caido en examenes, repite mucho. Además deestes hay que añadirle la de indicadores:acido-base, redox, metalocromicos.

11 páginas

Resumen 2 parte con apuntes de clase, electroforesis y prácticas. En negrita lo que ha caido años anteriores.

20 páginas

He publicado nuevos examenes de 2º Química Orgánica I: EXAMEN-ORDINARIO-RESUELTO-24-25.pdf

4 páginas

apuntes

-

TEORÍA RESUMEN TODOS LOS TEMAS

He publicado nuevos apuntes de 2º Química Analítica II: TEORÍA RESUMEN TODOS LOS TEMAS

Tema-1-quimica-analitica.pdf
Tema-2-quimica-analitica.pdf
Tema-3-quimica-analitica.pdf
tema-4-quimica-analitica.pdf
Tema-5-quimica-analitica.pdf
Tema-6-quimica-analitica..pdf

apuntes

-

Apuntes de toda la asignatura

He publicado nuevos apuntes de 1º Matemáticas II: Apuntes de toda la asignatura

Unidad-1.pdf
Unidad-2.pdf
Derivacion-e-integracion.pdf
Estadistica.pdf
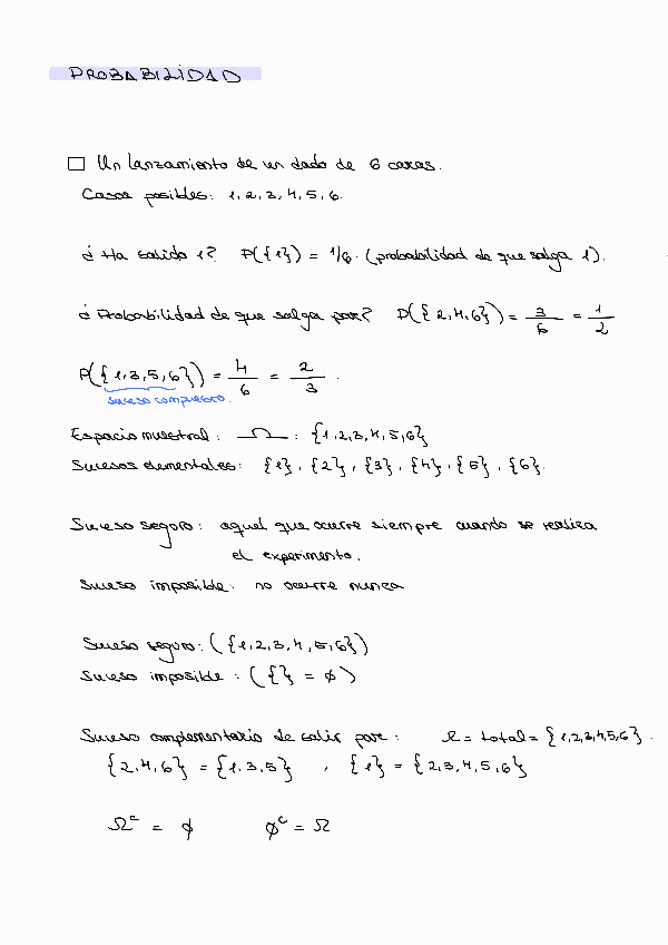
Probabilidad.pdf

ejercicios

-

Relaciones de ejercicios de todos los temas y varios resueltos

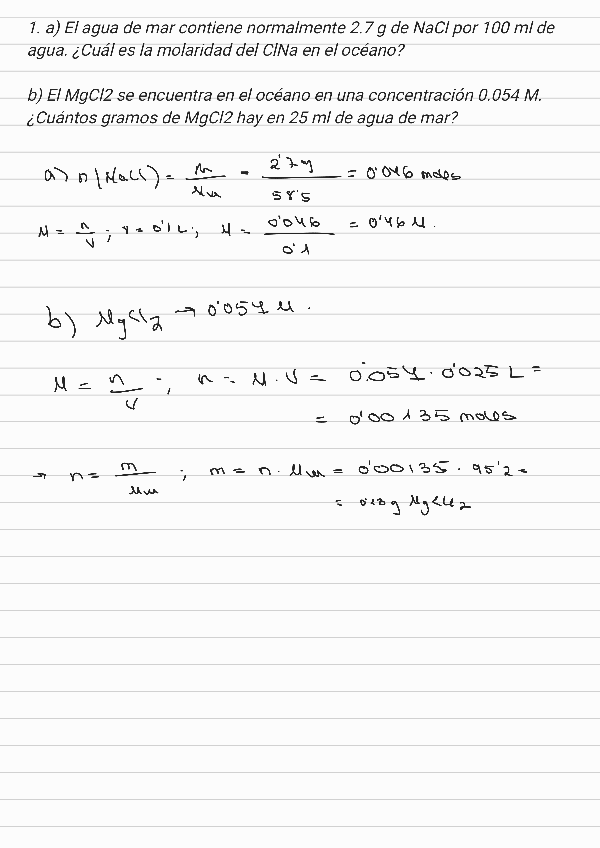
He publicado nuevos ejercicios de 1º Química General Iii: Relaciones de ejercicios de todos los temas y varios resueltos

Calculo-de-concentraciones230911182029.pdf
Relacion-Problemas-de-Calculo-de-concentraciones-F230222183707.pdf
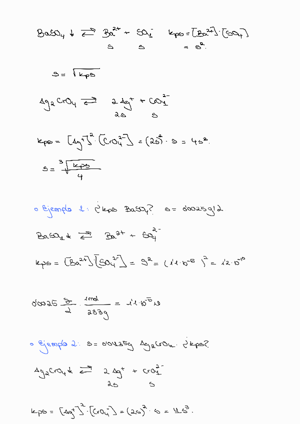
Relacion-de-problemas-Acido-Base230315185344.pdf
Problemas-230331125908.pdf
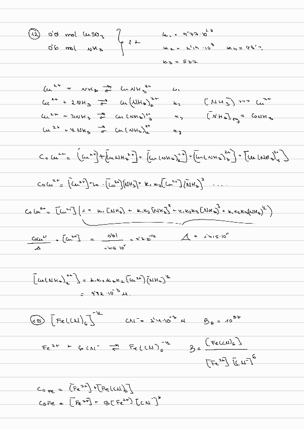
Relacion-Problemas-Complejos-Final-2.pdf
Problemas-complejos.pdf

ejercicios

-

EJERCICIOS RESUELTOS COMPLETOS TODOS LOS TEMAS

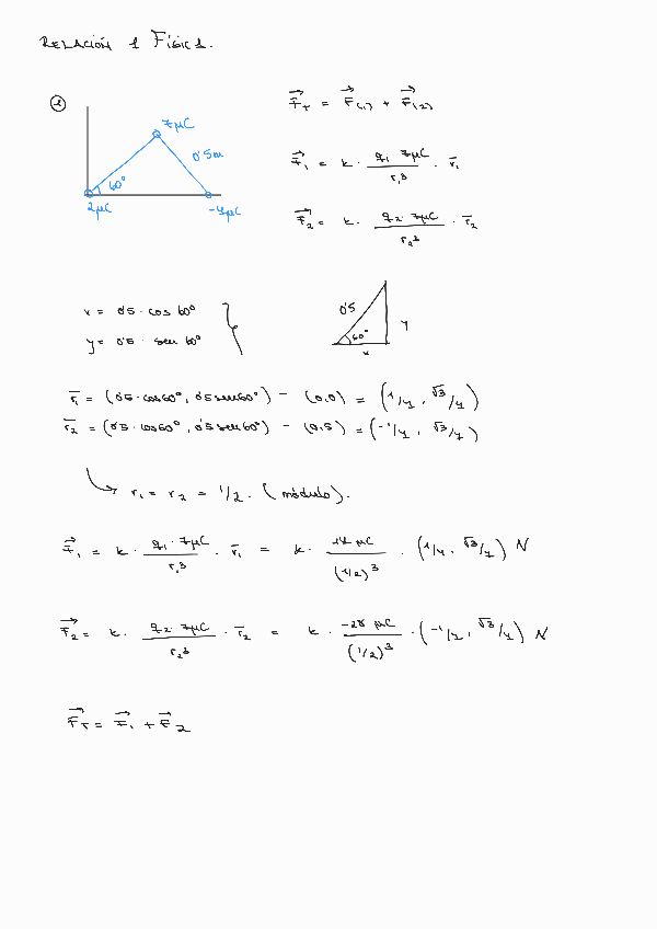
He publicado nuevos ejercicios de 1º Física II: EJERCICIOS RESUELTOS COMPLETOS TODOS LOS TEMAS

Relacion-1-enunciados.pdf
Relacion-1230507191158.pdf
Relacion-2-enunciados.pdf
Relacion-2.pdf
Relacion-3-enunciados.pdf
Relacion-3.pdf