@Gnisrepfa

Estudios: Genética y Biotecnología (UNMSM) ...Mostrar más

Bio: YT: @gnisrepfa2, @M3snedcmirita

4 Publicaciones

36 Interacciones

0 Seguidores

0 Siguiendo

Lista de publicaciones de Gnisrepfa

Descripción: Este examen fue uno de los más interesantes que he rendido, además de ser mi primer parcial en la educación superior. Pues la primera parte fue hecha en grupos de 9 integrantes. Aclaración: El examen pertenece a la Facultad de Ciencias Bioló

4 páginas

estoy muy seguro que la pregunta 4 la resolvi increiblemente mal

2 páginas

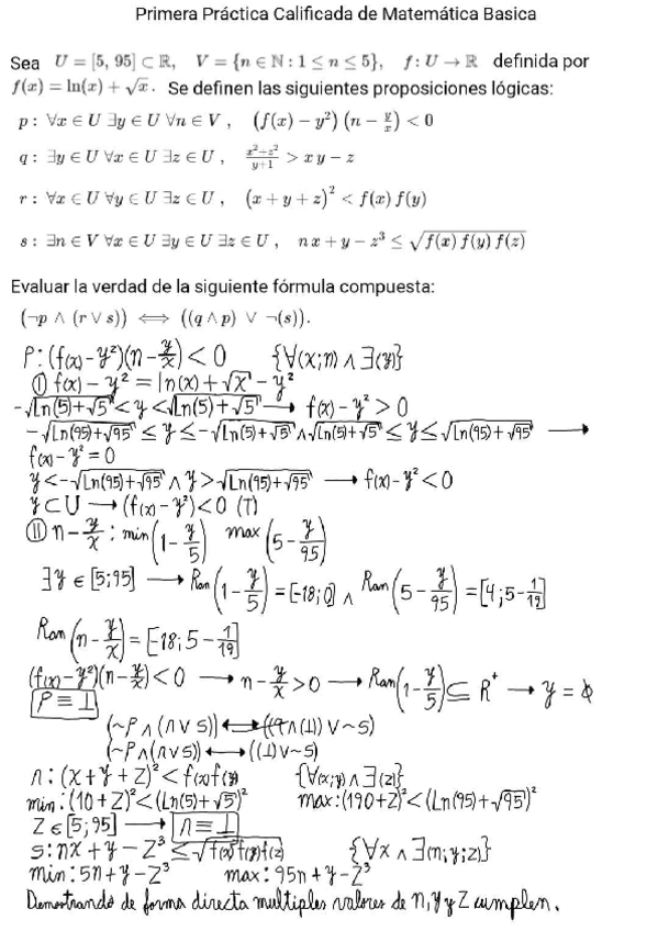
Solucionario de la primera practica calificada de la asignatura matematica basica. Al no estar registrada la asignatura de matematica basica dentro de la carrera de fisica decidi publicar el documento en la asignatura de calculo 1

2 páginas

He publicado nuevos ejercicios de 1º Calculo 1: Solucionario.pdf

8 páginas