@gonzalomt88

5 Publicaciones

113 Interacciones

1 Seguidores

1 Siguiendo

Lista de publicaciones de gonzalomt88

Teoría y Ejercicios de Exámen de otros años al final para practicar

23 páginas

Teoría y Ejercicios de Exámen de otros años al final para practicar

44 páginas

apuntes

-

Apuntes Mecánica Fluidos

Teoría y ejercicios por temas de fluidos por si a alguien le sirve

TEMA-1--Cinematica-de-fluidos.pdf
TEMA-2--Ecuaciones-generales.pdf
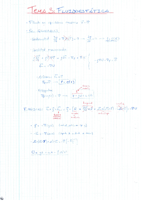
TEMA-3--Fluidoestatica.pdf
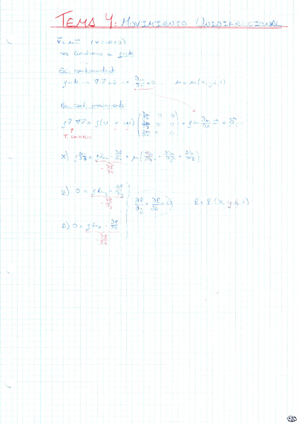
TEMA-4--Movimiento-unidireccional.pdf
TEMA-5--Analisis-dimensional.pdf
TEMA-6--Turbulencias.pdf