@Gordito

5 Publicaciones

309 Interacciones

1 Seguidores

2 Siguiendo

Lista de publicaciones de Gordito

Relación ejercicios MONOFÁSICA versión 2025-2026

21 páginas

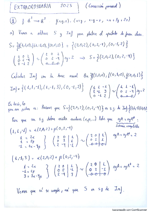
He publicado nuevos examenes de 1º Matemáticas I: Solucion-Extraordinaria-22-23.pdf

8 páginas

He publicado nuevos apuntes de 1º Matemáticas I: Apuntes-Resumidos-Mates1.pdf

6 páginas

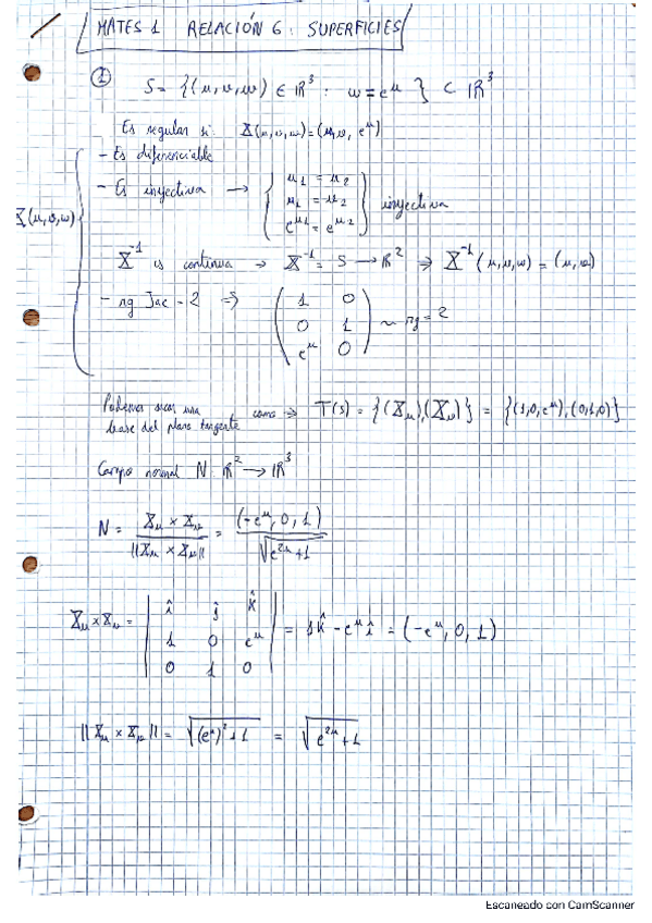
He publicado nuevos ejercicios de 1º Matemáticas I: Relacion-6-Superficies-Mates1.pdf

7 páginas

He publicado nuevos examenes de 1º Matemáticas I: Solucion-Ordinaria-21-22.pdf

7 páginas