@Grard

Estudios: Grado en Ingeniería Informática (UMA) ...Mostrar más

81 Publicaciones

1.02k Interacciones

0 Seguidores

0 Siguiendo

Lista de publicaciones de Grard

He publicado nuevos apuntes de 2º Sistemas Operativos: SistemasOperativosTema3.pdf

31 páginas

apuntes

-

Apuntes Temas 1, 2.1 y 2.2

Apuntes basados en las transparencias en inglés, traducidos y ampliados en castellano.

SistemasOperativos_Tema2.2.pdf
SistemasOperativos_Tema1.pdf
SistemasOperativos_Tema2.1.pdf

apuntes

-

Bases de Datos Introducción

Apuntes de la introducción a Base de Datos

Bases de Datos_Introduccion_Apuntes.pdf
Modelo Entidad Relacion_Apuntes.pdf
Modelo Relacional_Apuntes.pdf
PasoATablasSegunDataModeler.pdf
Normalización.pdf

examenes

-

Programación Orientada a Objetos, Java

He publicado nuevos examenes de 1º Programación Orientada a Objetos: Programación Orientada a Objetos, Java

2017September.pdf
prCompetitionExamSept2016.pdf
prLabReservation.pdf
prTeaching.pdf
regatta.pdf
QuizUnit1.PNG

apuntes

-

C++

He publicado nuevos apuntes de 1º Fundamentos de la Programación: C++

C_IOSystemBasics.pdf
cpp_tutorial.pdf
UNIX EssentialCommands.pdf

Examen Febrero 2018 C++

3 páginas

ejercicios

-

Relaciones de Ejercicios de Programación en C++ y Phyton

He publicado nuevos ejercicios de 1º Fundamentos de la Programación: Relaciones de Ejercicios de Programación en C++ y Phyton

Relacion1.pdf
Relacion2.pdf
Relacion3.pdf
Relacion3a.pdf
Relacion4.pdf
Relacion5.pdf

apuntes

-

Apuntes Estadística

He publicado nuevos apuntes de 1º Apuntes Variados: Apuntes Estadística

wuolah-free-Temario Completo (Temas 1-7) (Word).pdf
wuolah-free-Temario Completo (Temas 1-7) (Word) (1).pdf
wuolah-free-Tema 6 - Teoría de muestras (Word).pdf
wuolah-free-Tema 6 - Teoría de muestras (PP)(Color).pdf
wuolah-free-Tema 5B - Distribuciones de Probabilidad (Word).pdf
wuolah-free-Tema 5B - Distribuciones de Probabilidad (PP)(Color).pdf

ejercicios

-

Relaciones de Matemática Discreta

Ejercicios

Relación 2 Discreta.pdf
Relación 3 Discreta.pdf
Relación 5 Discreta.pdf
Relación 6 Discreta.pdf

apuntes

-

Apuntes | Transparencias | Diapositivas

He publicado nuevos apuntes de 1º ESTRUCTURAS ALGEBRÁICAS PARA LA COMPUTACIÓN: Apuntes | Transparencias | Diapositivas

Tema1-Cardinalidad.pdf
Tema2-Retículos.pdf
Tema2-Retículos_[Mariam].pdf

apuntes

-

Apuntes |transparencias |diapositivas

He publicado nuevos apuntes de 1º Fundamentos de Electrónica: Apuntes |transparencias |diapositivas

1_-_Conceptos_Electronicos_-_Teoria_de_Circuitos.pdf
2_-_Dispositivos_Electronicos.pdf
3 - Electrónica de Conmutación - Familias Lógicas.pdf
4_-_Introduccion_a_los_Sistemas_Digitales.pdf
5 - Análisis y Diseño Basado en Puertas.pdf
6_-_Bloques_Funcionales_Combinacionales.pdf

apuntes

-

Ejercicios

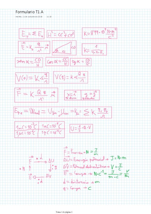
He publicado nuevos apuntes de 1º Fundamentos Físicos de la Informática: Ejercicios

Tema 1.pdf
Tema 1.B.pdf

practicas

-

Prácticas Java

He publicado nuevos practicas de 1º Programación Orientada a Objetos: Prácticas Java

Practica2.1.pdf
Practica2.2.pdf
Practica2.3.pdf

apuntes

-

Apuntes | Transparencias |diapositivas

He publicado nuevos apuntes de 1º Organización Empresarial: Apuntes | Transparencias |diapositivas

Tema 1 La Empresa y el Empresario.pdf
Tema 2 La Estrategia en la Empresa.pdf
Tema 4 El subsistema Comercial.pdf
Tema 4.1. El producto.pdf
Tema 4.2. El precio.pdf