@GuilleAlcaraz

21 Publicaciones

817 Interacciones

0 Seguidores

0 Siguiendo

Lista de publicaciones de GuilleAlcaraz

Todas las prácticas hechas de Fisica I

rar

He publicado nuevos ejercicios de 1º Química: Ejercicios.pdf

7 páginas

He publicado nuevos examenes de 1º Organización y Gestión de Empresas: Examenes.rar

rar

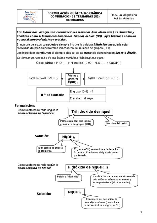
Cómo formular explicado perfectamente.

9 páginas

Exámenes de las tres convocatorias oficiales.

rar

Programas de clase y seminario resueltos

rar

Todos los examenes de las convocatorias oficiales

rar

He publicado nuevos ejercicios de 1º Química: Ejercicios.pdf

7 páginas

Toda la teoria en PWPs

rar

Todos los ejercicios propuestos hechos.

290 páginas

Todos los ejercicios de los temas resueltos por pasos.

Miniatura no disponible
rar

He publicado nuevos apuntes de 1º Estadística: Manual de uso Statgraphics Centurion.pdf

305 páginas

Todas los laboratorios de la ESI nueva

Miniatura no disponible
rar

Todos los temas de Álgebra y Geometría

Miniatura no disponible
rar

He publicado nuevos examenes de 1º Fundamentos de Informática: examenes.pdf

64 páginas

Cuestiones de la práctica de Condensadores.

8 páginas

Explicadas al detalle, ya sean inmediatas, por partes, racionales...

9 páginas

Explicadas al detalle, inmediatas, por partes, racionales...

9 páginas

Todos los laboratorios hechos de la ESI nueva

rar

Batería de test con todas las respuestas correctas.

39 páginas