@Guillesp23

Estudios: Grado en Ingeniería Mecánica (UPM) ...Mostrar más

Bio: .

601 Publicaciones

33.43k Interacciones

139 Seguidores

2 Siguiendo

Lista de publicaciones de Guillesp23

ejercicios

-

Ejercicios resueltos por temas

Hay alguno corregido por encima y otros que no he llegado a resolver pero está la gran mayoría

Ej-T2.pdf
Ej-T3.pdf
Ej-T4.pdf
Ej-T5-Examenes.pdf
Ej-T5-T.-Accion-Axial.pdf
Ej-T5-T.-Accion-Pelton.pdf

apuntes

-

Apuntes

He publicado nuevos apuntes de 3º Máquinas y Sistemas Fluidomecánicos: Apuntes

Tema-1-Principios-Basicos.pdf
Tema-2-Balance-Energetico-En-Maquinas-Hidraulicas.pdf
Tema-3-Teoria-De-Turbomaquinas-Hidraulicas.pdf
Tema-4-Semejanza-Fisica-En-Maquinas-Hidraulicas.pdf
Tema-5-Tipologia-De-Turbinas-Hidraulicas.pdf
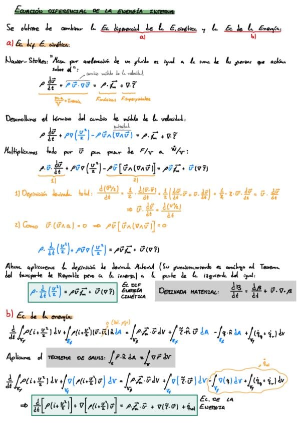
T2-Demostraciones-Explicadas-De-Las-Ecuaciones-Diferencial-e-Integral-De-La-Energia-Interna.pdf

apuntes

-

Apuntes con ejercicios

He publicado nuevos apuntes de 4º SISTEMAS DE FABRICACIÓN FLEXIBLE: Apuntes con ejercicios

Tema-1-Sistemas-De-Produccion.pdf
Tema-2-Sistemas-De-Fabricacion.pdf
Tema-3-Evaluacion-De-Los-Sistemas-De-Fabricacion.pdf
Tema-4-Group-Technology-GT.pdf
Tema-5-Modelos-Analiticos-Y-De-Simulacion.pdf
Tema-6-Modelos-De-Redes-De-Cola.pdf

Todos los test que he encontrado en exámenes de otros años e incluidos algunos de los hechos en clase. Todos con solución.

9 páginas

ejercicios

-

Ejercicios Vibraciones bien explicados

He publicado nuevos ejercicios de 4º ELEMENTOS FINITOS Y VIBRACIONES MECÁNICAS: Ejercicios Vibraciones bien explicados

1er-Examen-Moodle.pdf
2o-Examen-Moodle.pdf
EjT3.pdf
EjT2.pdf

He publicado nuevos apuntes de 4º ELEMENTOS FINITOS Y VIBRACIONES MECÁNICAS: Apuntes-Bond-Graph.pdf

7 páginas

apuntes

-

Apuntes

He publicado nuevos apuntes de 4º Motores Alternativos: Apuntes

Formulario-T3-Parametros-Basicos-De-Los-MCIA.pdf
Tema-4-Perdidas-De-Calor-Y-Refrigeracion-Apuntes.pdf
Tema-5-Lubricacion-y-perdidas-mecanicas-en-MCIA-Apuntes.pdf
Tema-6-Renovacion-de-la-carga-en-motores-de-4T-Apuntes.pdf
Tema-7-Combustibles-Apuntes.pdf
Tema-8-Combustion-En-MEP.pdf

apuntes

-

Apuntes

He publicado nuevos apuntes de 4º Ingenieria de Fabricación: Apuntes

Tema-1-Mecanizado-Por-Arranque-De-Viruta.pdf
Tema-2-Conformado-Por-Moldeo.pdf
Tema-4-Seleccion-De-Procesos-De-Fabricacion.pdf
Tema-3-Procesos-Por-Deformacion-Plastica.pdf
Formulario-Todo-el-curso.pdf

Todo el temario de EEFF, a modo de libro.

24 páginas

Apuntes con ejercicios resueltos de volantes de inercia

4 páginas

apuntes

-

Apuntes Calidad

He publicado nuevos apuntes de 4º Metrología y Calidad: Apuntes Calidad

Tema-6-Introduccion-al-control-de-calidad-y-a-los-sistemas-De-Calidad-Total.pdf
RESUMENT6Y7.pdf
Tema-7-Control-Estadistico-De-Procesos.pdf
Tema-8-Planes-De-Aceptacion-Por-Muestreo.pdf

apuntes

-

Apuntes Metrología

Es la misma carpeta que la anterior pero sin estar bloqueada por WUOLAH…

Tema-1-Introduccion-A-La-Metrologia.pdf
Tema-2-Fundamentos-De-La-Metrologia.pdf
Tema-3-Evaluacion-De-La-Incertidumbre.pdf
Tema-4-Metrologia-Dimensional.pdf

ejercicios

-

Todos los ejercicios por temas

He publicado nuevos ejercicios de 4º Ingenieria de Fabricación: Todos los ejercicios por temas

Ej-T1.pdf
Ej-T2.pdf
Ej-T3.pdf
Ej-T4.pdf

apuntes

-

Apuntes VIBRACIONES

He publicado nuevos apuntes de 4º ELEMENTOS FINITOS Y VIBRACIONES MECÁNICAS: Apuntes VIBRACIONES

Tema-1-Introduccion-A-Las-Vibraciones-Mecanicas.pdf
Tema-2-Vibraciones-De-1-GDL.pdf
Tema-3-Vibraciones-De-Multiples-GDL.pdf