@gusanito123

143 Publicaciones

6.47k Interacciones

1 Seguidores

0 Siguiendo

Lista de publicaciones de gusanito123

apuntes

-

temas 9 y 10

He publicado nuevos apuntes de 3º Dirección de Recursos Humanos I: temas 9 y 10

Tema-10-DRH1-.pdf
Tema-9-drh1.pdf

apuntes

-

tema 7 8

He publicado nuevos apuntes de 3º Dirección de Recursos Humanos I: tema 7 8

Tema-8-DRH-1.pdf
Tema-7-DRH1.pdf

apuntes

-

temas 4 5 6

He publicado nuevos apuntes de 3º Dirección de Recursos Humanos I: temas 4 5 6

tema-6-drh1.pdf
Tema-5-DRH1.pdf
Tema-4-DRH1.pdf

He publicado nuevos apuntes de 3º Dirección de Recursos Humanos I: Tema-3-DRH1.pdf

6 páginas

He publicado nuevos apuntes de 3º Dirección de Recursos Humanos I: Tema-2-DRH1.pdf

11 páginas

He publicado nuevos apuntes de 3º Dirección de Recursos Humanos I: tema-1-DRH1.pdf

6 páginas

ejercicios

-

Ejercicios por temas

He publicado nuevos ejercicios de 2º Economía Mundial: Ejercicios por temas

tema-1-solucion-practica.pdf
tema-1-practica.docx
tema-3-test-solucion.docx
tema-1-test-con-resultado.docx
Practica-Tema2soluciones.docx
tema-3-practica.pdf

examenes

-

Examenes

He publicado nuevos examenes de 1º Matemáticas Empresariales: Examenes

ControlGADEGrupoC.pdf
ControlGADEGrupoB.pdf
ControlParcialGECOCModelo2.pdf
ControlParcialGECOCModelo1.pdf

ejercicios

-

Ejercicios por temas

He publicado nuevos ejercicios de 1º Matemáticas Empresariales: Ejercicios por temas

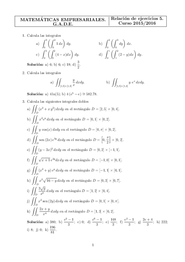
relacion-tema-5-resuelta.pdf
Relacion-tema-3-resuelta.pdf
relacion-tema-1-Tercera-parte.pdf
Solucion2escaneada-tercera-parte-del-tema-1.pdf
Relacion-tema-1-Primera-y-segunda-parte.pdf
Relacion-tema-1-Tercera-parte.pdf

ejercicios

-

Supuestos con soluciones

He publicado nuevos ejercicios de 1º Contabilidad General: Supuestos con soluciones

Solucion-FIN.pdf
Solucion-Empresa-SPLASH.pdf

ejercicios

-

Supuestos

He publicado nuevos ejercicios de 1º Contabilidad General: Supuestos

examen-practico-1-Regal.pdf
Ejercicio-New-Yorker.pdf
Ejercicio-descuento-efectos.pdf
examen-practico-2-Terra-y-Flor.pdf
ejercicio-balance-splash.pdf
empresa-puppy-ejercicio-balance.pdf