@Hans_Krebs

21 Publicaciones

474 Interacciones

3 Seguidores

0 Siguiendo

Lista de publicaciones de Hans_Krebs

apuntes

-

Apuntes Química NS

Bachillerato de Ciencias y Tecnología

Rutas-sinteticas-II.pdf
Tema-3.pdf
Tema-5.pdf
Tema-0.pdf
Tema-2.pdf
Tema-1.pdf

Recomiendo echarle un vistazo a las diapositivas del profesor mientras se estudian estos apuntes.

32 páginas

apuntes

-

Apuntes completos examen final

Recomiendo echarle un vistazo a las diapositivas del profesor mientras se estudian estos apuntes.

Final - Conceptos y datos relevantes.pdf
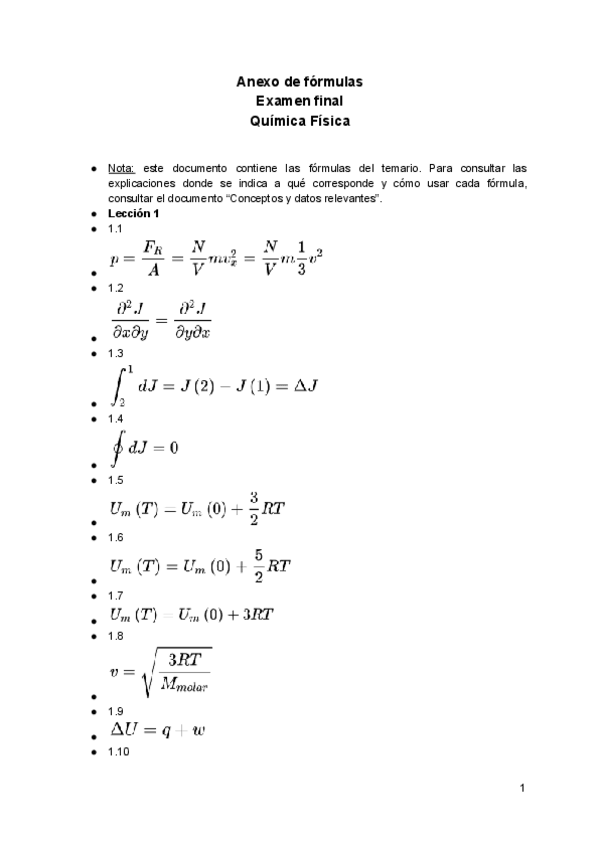
Final - Anexo de fórmulas.pdf

Recomiendo echarle un vistazo a las diapositivas del profesor mientras se estudian estos apuntes.

19 páginas

apuntes

-

Apuntes completos 2o parcial

Recomiendo echarle un vistazo a las diapositivas del profesor mientras se estudian estos apuntes.

2o parcial - Conceptos y datos relevantes.pdf
2o parcial - Anexo I.pdf

Los autores de este informe obtuvieron un sobresaliente.

10 páginas

Este informe fue evaluado con la máxima nota.

4 páginas

apuntes

-

Apuntes completos 2o parcial

Recomiendo echarle un vistazo a las diapositivas del profesor mientras se estudian estos apuntes.

2o parcial - Anexo I.pdf
2o parcial - Conceptos y datos relevantes.pdf

Recomiendo echarle un vistazo a las diapositivas del profesor mientras se estudian estos apuntes.

48 páginas

apuntes

-

Apuntes completos 1er parcial

Recomiendo echarle un vistazo a las diapositivas del profesor mientras se estudian estos apuntes.

1er parcial - Conceptos y datos relevantes.pdf
1er parcial - Anexo I.pdf