@Harxeon

12 Publicaciones

1.69k Interacciones

0 Seguidores

0 Siguiendo

Lista de publicaciones de Harxeon

He publicado nuevos examenes de 1º Cálculo I: Soluciones-G411.pdf

3 páginas

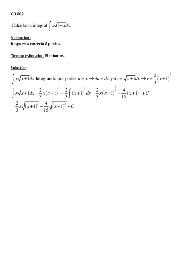
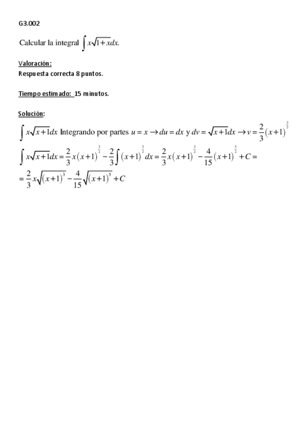
He publicado nuevos examenes de 1º Cálculo I: Soluciones-G3.pdf

3 páginas

He publicado nuevos examenes de 1º Cálculo I: Soluciones-G2.pdf

8 páginas

He publicado nuevos examenes de 1º Cálculo I: Soluciones-G4.pdf

3 páginas

He publicado nuevos examenes de 1º Cálculo I: Soluciones-G3.pdf

3 páginas

He publicado nuevos examenes de 1º Cálculo I: Soluciones-G2.pdf

8 páginas

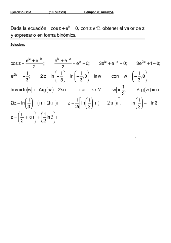
He publicado nuevos examenes de 1º Cálculo I: Soluciones-G1.pdf

3 páginas

He publicado nuevos apuntes de 1º Cálculo I: Soluciones-G1.pdf

3 páginas

apuntes

-

Exámenes complejos GITM 2019 Noviembre

He publicado nuevos apuntes de 1º Cálculo I: Exámenes complejos GITM 2019 Noviembre

45830445497621415929.pdf
45830445497621415928.pdf

apuntes

-

Exámenes noviembre 2019 GITM

He publicado nuevos apuntes de 1º Cálculo I: Exámenes noviembre 2019 GITM

45917939607848093814.pdf
45917939607848093813.pdf