@hatinghoney

Bio: Estudiante de Ingeniería Informática del Software, subo apuntes para motivarme a estudiar, a veces subo ejercicios y exámenes. Subo los apuntes en inglés debido a que estoy en el curso de Inglés, lo siento mucho.

64 Publicaciones

1.04k Interacciones

0 Seguidores

1 Siguiendo

Lista de publicaciones de hatinghoney

apuntes

-

Theory

Theory of English groups (2022-23 & 23-24)

Unit-1.pdf
Unit-2.pdf
Chapter-3-Class-Definitions.pdf
Chapter-6-Grouping-objects-Fixed-size-collections.pdf
Chapter-4-Object-Interaction.pdf
Chapter5.pdf

alguien tiene los apuntes de automatas??

examenes

-

Exámenes

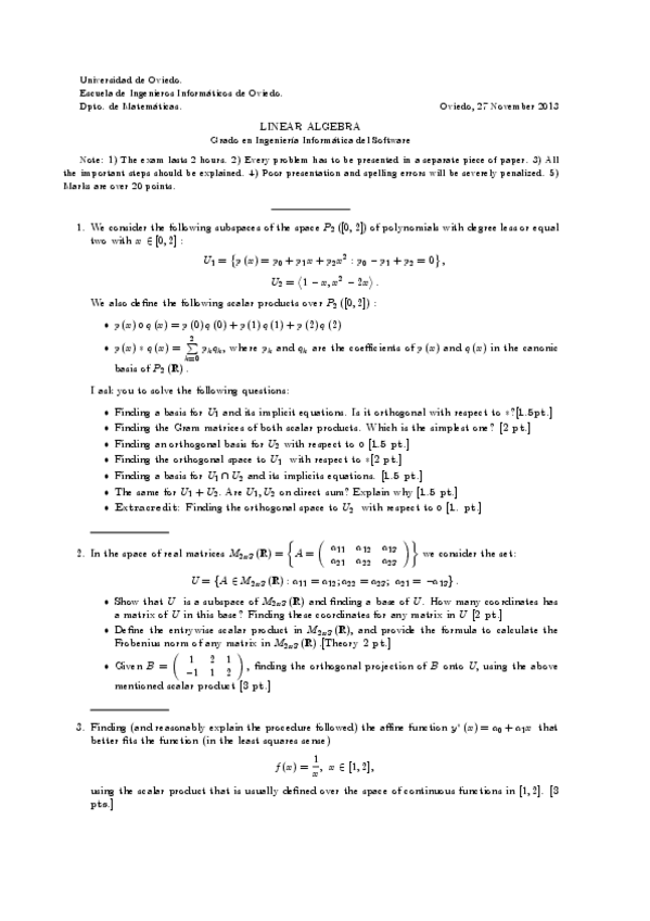
He publicado nuevos examenes de 1º Álgebra Lineal: Exámenes

nov2015.pdf
nov2013.pdf
Enero2013.pdf
Julio2015.pdf
July2013.pdf
Enero2012.pdf

He publicado nuevos examenes de 1º Fundamentos de Computadores y Redes: png2pdf.pdf

2 páginas

He publicado nuevos apuntes de 1º Metodología de la Programación: Unit1-MP.pdf

6 páginas

examenes

-

Exams

He publicado nuevos examenes de 1º Ondas y electromagnetismo: Exams

FIRST-MIDTERM-EXAM-2019.pdf
Solved-First-Midterm-Exam-2019.pdf

He publicado nuevos apuntes de 1º Fundamentos de Computadores y Redes: FCR-Chapter-1.pdf

8 páginas

He publicado nuevos apuntes de 1º Empresa: Lesson-7.pdf

4 páginas

He publicado nuevos apuntes de 1º Empresa: Lesson6.pdf

7 páginas

He publicado nuevos apuntes de 1º Empresa: Lesson5.pdf

11 páginas

He publicado nuevos apuntes de 1º Fundamentos de Informática: Unit2.pdf

14 páginas

Ejervicios del grupo bilingüe

2 páginas