@Helena111

13 Publicaciones

2.43k Interacciones

0 Seguidores

0 Siguiendo

Lista de publicaciones de Helena111

He publicado nuevos ejercicios de 4º Contabilidad de combinaciones de negocios: Ejercicios-COMBI-Resueltos.pdf

51 páginas

examenes

-

Examenes microeconomia II

He publicado nuevos examenes de 2º Microeconomía II: Examenes microeconomia II

Examen-febrero-2015-resuelto.pdf
Examenes-microeconomia.pdf

apuntes

-

Supuestos prácticos (RESUELTOS)

He publicado nuevos apuntes de 1º Contabilidad Financiera II: Supuestos prácticos (RESUELTOS)

supuesto 8 (resuelto).pdf
supuesto 9 (Resuelto).pdf
supuesto 11 (resuelto).pdf
supuesto 14 (resuelto).pdf
supuesto 15 (resuelto).pdf

He publicado nuevos examenes de 1º Matemáticas I: EJEMPLO EXAMEN Teorema de la funcion implicita (2014).pdf

2 páginas

He publicado nuevos apuntes de 1º Matemáticas I: EJEMPLO EXAMEN DERIVADA DE LA FUNCION COMPUESTA.pdf

1 página

He publicado nuevos examenes de 1º Matemáticas I: EJEMPLO EXAMEN DERIVADA DE LA FUNCION COMPUESTA.pdf

1 página

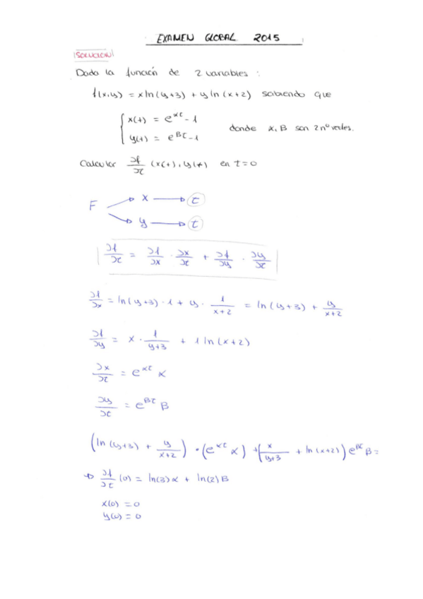
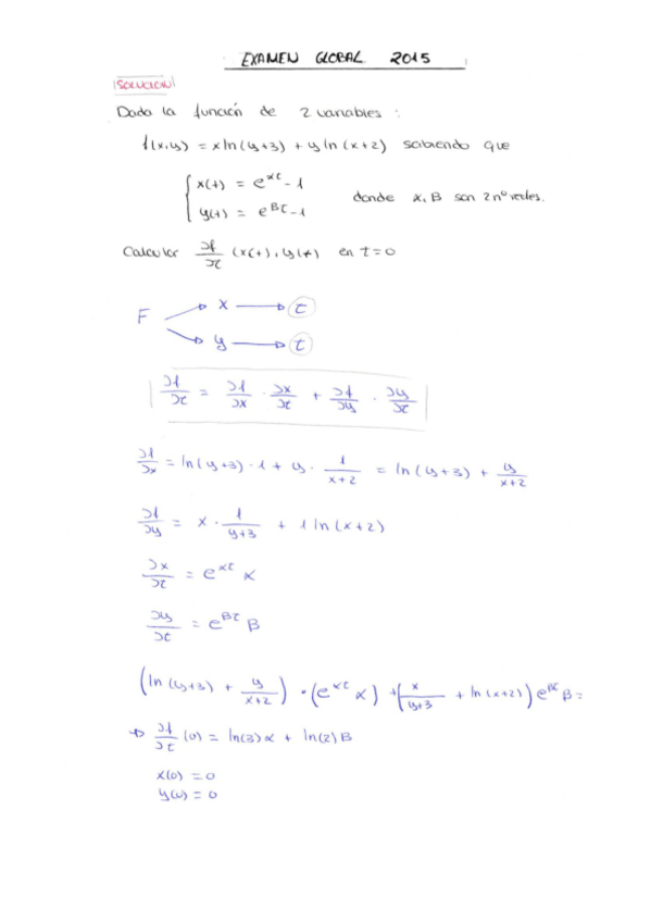
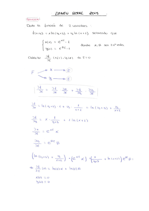
He publicado nuevos examenes de 1º Matemáticas I: EXAMEN GLOBAL MATES 2015.pdf

2 páginas

He publicado nuevos examenes de 1º Microeconomía I: EXAMEN MICROECONOMIA I.pdf

2 páginas