@HelenaFva

21 Publicaciones

1.22k Interacciones

2 Seguidores

2 Siguiendo

Lista de publicaciones de HelenaFva

He publicado nuevos apuntes de 2º Economía: Economia-hasta-tema-7.pdf

5 páginas

He publicado nuevos apuntes de 2º Automatización de procesos: Temas-2-y-3-Automa-2023-24.pdf

8 páginas

He publicado nuevos apuntes de 3º Dirección Comercial: apuntes-direco-2023.pdf

13 páginas

He publicado nuevos apuntes de 1º Química: QUIMICA-Resumen-Temas-2023.pdf

4 páginas

He publicado nuevos apuntes de 1º Química: Eq-quimico-Intensivo-Newton.pdf

15 páginas

He publicado nuevos apuntes de 2º Estadística: Probabilidad-ejercicios-resueltos.pdf

13 páginas

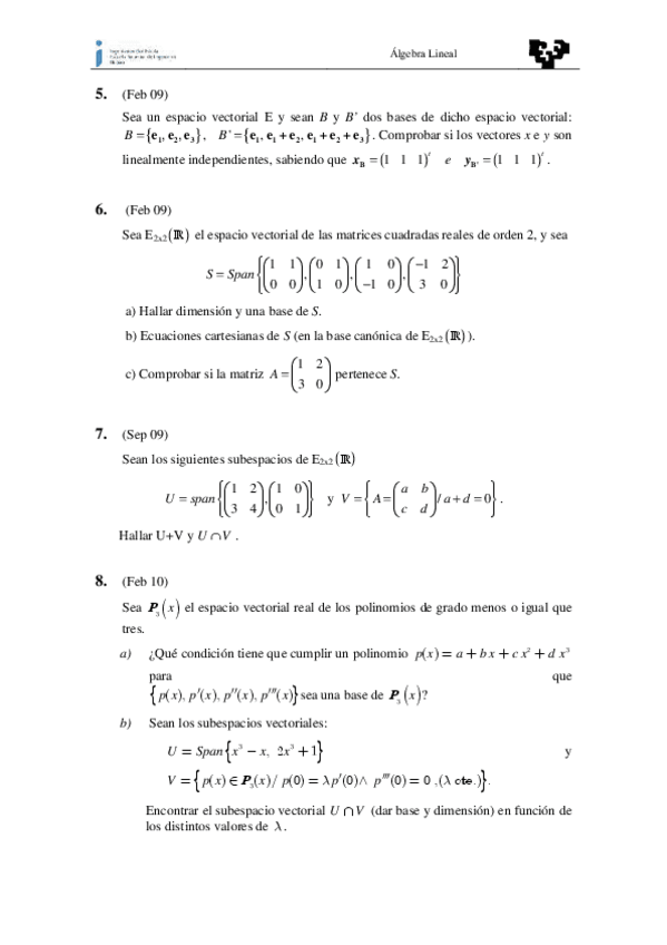
He publicado nuevos apuntes de 1º Álgebra Lineal: vectorialesexamenes.pdf

4 páginas

He publicado nuevos apuntes de 1º Álgebra Lineal: Algunosproblemasmasespvectoriales.pdf

2 páginas

He publicado nuevos apuntes de 1º Álgebra Lineal: PrimerParcialResueltoExamenFinalMayo2021.pdf

11 páginas

He publicado nuevos apuntes de 1º Álgebra Lineal: linealesexamenes.pdf

4 páginas

He publicado nuevos apuntes de 1º Álgebra Lineal: Aplicaciones-lineales-Mathematica.pdf

15 páginas

He publicado nuevos apuntes de 1º Ampliación de Física: RESUMEN-FORMULAS-AMPLI-FISICA.pdf

8 páginas

He publicado nuevos apuntes de 2º Fundamentos de Ciencia de Materiales: TEST-MATERIALES.pdf

7 páginas

He publicado nuevos apuntes de 1º Álgebra Lineal: SOLUTIONS-TO-CHAPTER-1.pdf

46 páginas

He publicado nuevos apuntes de 1º Álgebra Lineal: SOLUTIONS-TO-CHAPTER-2.pdf

79 páginas

He publicado nuevos apuntes de 1º Álgebra Lineal: SOLUTIONS-TO-CHAPTER-4.pdf

84 páginas

He publicado nuevos apuntes de 2º Economía: TEMA1.pdf

7 páginas

He publicado nuevos apuntes de 2º Economía: TEMA-2.pdf

6 páginas

He publicado nuevos apuntes de 2º Economía: TEMA-3.pdf

5 páginas

He publicado nuevos apuntes de 2º Economía: TEMA4.pdf

2 páginas