@Henderson_96810

15 Publicaciones

321 Interacciones

3 Seguidores

0 Siguiendo

Lista de publicaciones de Henderson_96810

He publicado nuevos apuntes de 2º enfermería del Adulto I: adulto-I-qx-cardio-respi.pdf

115 páginas

He publicado nuevos apuntes de 2º Farmacología: farma-entero-cardio.pdf

106 páginas

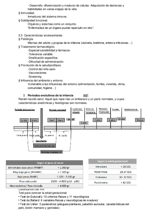
He publicado nuevos apuntes de 2º Enfermería de la Infancia y Adolescencia: INFANCIA-ENTERO.pdf

110 páginas

He publicado nuevos apuntes de 2º Nutrición y Dietética: NUTRICION-Y-DIETETICA-ENTERO.pdf

82 páginas

apuntes

-

TRASCULTURALIDAD, GÉNERO Y SALUD

He publicado nuevos apuntes de 1º Transculturalidad, Genero y Salud: TRASCULTURALIDAD, GÉNERO Y SALUD

TEORIA-TGS.pdf

He publicado nuevos apuntes de 1º Psicología: PSICOLOGIA-completo.pdf

38 páginas

He publicado nuevos apuntes de 1º Salud Pública: SALUD-PUBLICA-tema-15-al-28-seminarios-Macarena-y-leti.pdf

100 páginas

He publicado nuevos apuntes de 1º Salud Pública: SALUD-PUBLICA-macarena-tema-1-al-14.pdf

101 páginas

He publicado nuevos apuntes de 1º Proceso de Enfermería y Cuidados Básicos: PAE-completo-Maria.pdf

94 páginas