@IAGO_CARRERA

Bio: Hola! Soy Iago y soy estudiante de 1º Bachillerato. Estoy en la modalidad científico-tecnológico y en mi perfil subiré apuntes de muy buena calidad, lo mejor sintetizados posibles y con un vocabulario entendible.

116 Publicaciones

804 Interacciones

11 Seguidores

0 Siguiendo

Lista de publicaciones de IAGO_CARRERA

He publicado nuevos apuntes de 2º Tecnología Industrial II: PROPIEDADES-DE-LOS-MATERIALES.-ENSAYOS-DE-MATERIALES.pdf

11 páginas

He publicado nuevos apuntes de 1º Filosofía: Os-sistemas-eticos-e-os-seus-retos-actuais.pdf

3 páginas

apuntes

-

SOLUCIONES BOLETINES MATEMÁTICAS I

He publicado nuevos apuntes de 1º Matemáticas Generales: SOLUCIONES BOLETINES MATEMÁTICAS I

Boletin-9.1-LIMITES-1o-BACH-SOLUCIONES2b31aa120fcdd4636de34634773b3520.pdf
Boletin-8.1.Funciones-SOLUCIONES60537bb13c3a27a86b39c06eed9613f0.pdf
Boletin-9.2-Limites-y-continuidad-SOLUCIONES-Bach69c761a545d7d7e28750e27b2d87db3b.pdf
Boletin-10.2-DerivabilidadSOLUCIONES.pdf
Boletin-2.2.-Fracciones-algebraicas-SOLUCIONES.pdf
Boletin-11.2.-Optimizacion-SOLUCIONES68b24b7a7e8d5871a71d24571da48fc7.pdf

apuntes

-

BOLETINES MATEMÁTICAS I (Científicas)

MUY IMPORTANTE: LEER DOCUMENTO: INSTRUCCIONES PARA SABER COMO ESTÁ ORGANIZADO TODO EL MATERIAL.

Boletin-2.1.-Polinomios.pdf
Boletin-1.1.-Radicales.pdf
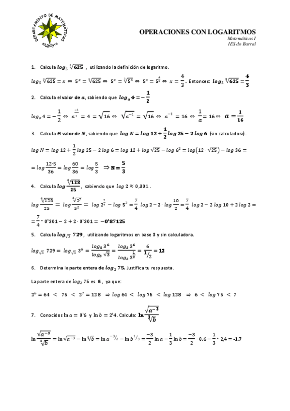
Logaritmos-con-soluciAn.pdf
Boletin-4.2.Ecuaciones-trigonometricas.pdf
Boletin-3.2.Trigonometria.Visuales.pdf
BoletAn-2.6.-Sistemas-no-lineales.pdf