@Idde_

32 Publicaciones

2.48k Interacciones

8 Seguidores

0 Siguiendo

Lista de publicaciones de Idde_

He publicado nuevos apuntes de 3º Tecnologías de Fabricación: TECNOLOGIAS-DE-FABRICACION-0.pdf

33 páginas

guía para llevar al examen. Con ejercicios resueltos de clase

24 páginas

He publicado nuevos apuntes de 2º Mecánica: p4-mec.pdf

1 página

He publicado nuevos apuntes de 2º Ingeniería de Materiales: p3-materiales.pdf

6 páginas

He publicado nuevos apuntes de 2º Mecánica de Fluidos: capa-limite.pdf

2 páginas

He publicado nuevos apuntes de 2º Sistemas Automáticos: Resumen-para-problemas.pdf

4 páginas

He publicado nuevos apuntes de 2º Experimentación en Quimica: Resumen-examen-q.pdf

8 páginas

He publicado nuevos apuntes de 2º Ingeniería de Materiales: Esquema-teoria-Lo-mas-importante.pdf

12 páginas

He publicado nuevos apuntes de 2º Ingeniería de Materiales: Resumen-examen-practicas.pdf

6 páginas

He publicado nuevos apuntes de 2º Organización y Dirección de Empresas: Resumen-Teoria-ODE-compacto.pdf

8 páginas

He publicado nuevos apuntes de 2º Estadística: Formulario-Est.pdf

1 página

He publicado nuevos apuntes de 2º Experimentación en Quimica: Teoria-Inorganica-Global.pdf

26 páginas

He publicado nuevos apuntes de 2º Ingeniería de Materiales: Resumen-teoria-2-Parcial-Bloques-C-y-D.pdf

19 páginas

He publicado nuevos apuntes de 2º Fundamentos de Electrotecnia: felec-1-parcial.pdf

14 páginas

He publicado nuevos apuntes de 2º Ampliación de química II: organica-1-parcial.pdf

11 páginas

He publicado nuevos apuntes de 2º Ampliación de química II: inor-1-parcial.pdf

10 páginas

He publicado nuevos apuntes de 1º Física II: FISICA-ii.pdf

35 páginas

He publicado nuevos apuntes de 1º Expresión Gráfica y Diseño Asistido Por Ordenador: dibujo.pdf

9 páginas

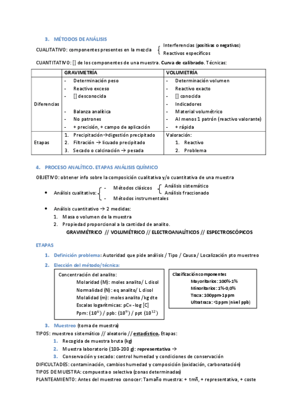
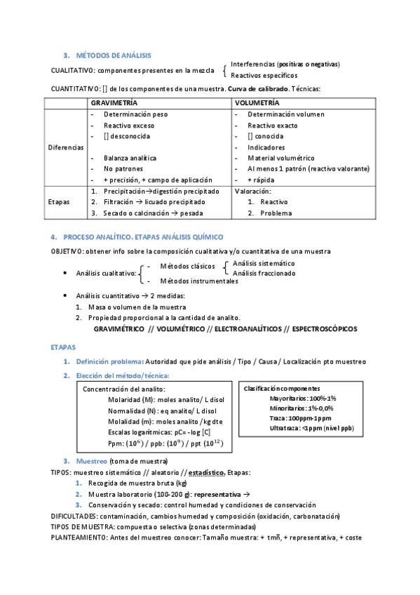
He publicado nuevos apuntes de 1º Ampliación de química I: QUIMICA-ANALITICA.pdf

16 páginas

He publicado nuevos apuntes de 1º Ampliación de química I: Quimica-fisica1.jpg

Imagen