@idea3

Estudios: Grado en Economía (US) ...Mostrar más

35 Publicaciones

2.46k Interacciones

0 Seguidores

0 Siguiendo

Lista de publicaciones de idea3

He publicado nuevos practicas de 3º Derecho del Trabajo: CASO-4-DERECHO-DEL-TRABAJO.pdf

3 páginas

ejercicios

-

TODOS EJERCICIOS CLASE SOLUCIONADOS

He publicado nuevos ejercicios de 2º Derecho Administrativo: TODOS EJERCICIOS CLASE SOLUCIONADOS

SOLUCION-EJERCICIO-10.pdf
SOLUCION-EJERCICIO-3.pdf
SOLUCION-EJERCICIO-1.pdf
SOLUCION-EJERCICIO-8.pdf
SOLUCION-EJERCICIO-4.pdf
SOLUCION-EJERCICIO-6.pdf

practicas

-

EJERCICIOS PRÁCTICOS ECONOMÍA ESPAÑOLA

He publicado nuevos practicas de 3º Economía Española: EJERCICIOS PRÁCTICOS ECONOMÍA ESPAÑOLA

PRACTICA-3-ESPANOLA.pdf
PRACTICA-2-ESPANOLA.pdf
PRACTICA-1-ESPANOLA.pdf

apuntes

-

TODOS LOS TEMAS ECONOMÍA ESPAÑOLA

He publicado nuevos apuntes de 3º Economía Española: TODOS LOS TEMAS ECONOMÍA ESPAÑOLA

LECCION-6-ESPANOLA.pdf
LECCION-1-ESPANOLA.pdf
LECCION-4-ESPANOLA.pdf
LECCION-3-ESPANOLA.pdf
LECCION-2-ESPANOLA-PARTE-EL-GRAN-CONFINAMIENTO.pdf
LECCION-5-ESPANOLA.pdf

He publicado nuevos examenes de 2º Derecho Administrativo: SEGUNDO-TIPO-TEST-dcho.pdf

7 páginas

He publicado nuevos examenes de 2º Derecho Administrativo: TIPO-TEST-TEMA-1-Y-2-dcho.pdf

7 páginas

He publicado nuevos examenes de 1º Apuntes Variados: PRIMER-PARCIAL.pdf

3 páginas

He publicado nuevos examenes de 2º Programación Matemática: 2º PARCIAL JUN 2018 ENUNCIADO+RESUELTO

6 páginas

He publicado nuevos examenes de 2º Programación Matemática: EXAMEN-SEPTIEMBRE-2019.pdf

2 páginas

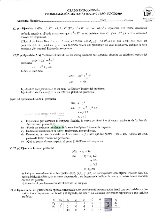
He publicado nuevos examenes de 2º Programación Matemática: EXAMEN-JUNIO-2019.pdf

2 páginas

He publicado nuevos examenes de 2º Programación Matemática: Examen Septiembre-2017_56344.pdf

2 páginas

He publicado nuevos examenes de 2º Programación Matemática: Examen Junio-2017_181564.pdf

2 páginas

JOSÉ IGNACIO MARTÍNEZ RUIZ

12 páginas

NOTA EN LA ASIGNATURA: NOTABLE (8)

14 páginas

NOTA EN LA ASIGNATURA: NOTABLE (8)

13 páginas

NOTA EN LA ASIGNATURA: NOTABLE (8)

10 páginas