@iirene_mz

247 Publicaciones

196 Interacciones

3 Seguidores

0 Siguiendo

Lista de publicaciones de iirene_mz

apuntes

-

Java y teoría

He publicado nuevos apuntes de 1º Algoritmos y Estructuras de Datos: Java y teoría

Java.pdf
Analisis-del-uso-de-memoria.pdf
Ordenacion.pdf

apuntes

-

Ejercicos sql resueltos

archivos.cpp de los ejercicios sql propuestos en clase

Miniatura no disponible
sqladdproducttoorder.cpp
Miniatura no disponible
sqlcreate.cpp
Miniatura no disponible
sqldeleteperson.cpp
Miniatura no disponible
sqlinsertdireccion.cpp
Miniatura no disponible
sqlinsertorder.cpp
Miniatura no disponible
sqlinsertperson.cpp

He publicado nuevos apuntes de 2º Fundamentos de Automática: Comandos-practicas-1-2-3.pdf

2 páginas

He publicado nuevos apuntes de 2º Fundamentos de Automática: Tema-2-y-3.pdf

4 páginas

He publicado nuevos apuntes de 2º Fundamentos de Automática: Tema-4.pdf

2 páginas

He publicado nuevos apuntes de 2º Fundamentos de Automática: Ejercicios-2.pdf

12 páginas

He publicado nuevos apuntes de 2º Fundamentos de Automática: Ejercicios-5.pdf

3 páginas

He publicado nuevos apuntes de 2º Fundamentos de Automática: Ejercicios-4.pdf

6 páginas

He publicado nuevos apuntes de 2º Fundamentos de Automática: Ejercicios-3.pdf

16 páginas

apuntes

-

evolucion

He publicado nuevos apuntes de 1º Evolución y futuro de la robótica: evolucion

Tema-2.pdf
Tema-3.pdf
Trabajo.pdf
Tema-1.pdf

apuntes

-

emprendimiento

He publicado nuevos apuntes de 1º Emprendimiento e innovación en robótica: emprendimiento

Tema-4.pdf
Tema-5.pdf
Tema-6.pdf
Tema-7.pdf
Tema-8.pdf
Tema-9.pdf

He publicado nuevos apuntes de 1º Electrónica Digital: Suma-y-resta.pdf

3 páginas

He publicado nuevos apuntes de 1º Electrónica Digital: Conversion-decimal-binario-octal-y-hexadecimal.pdf

1 página

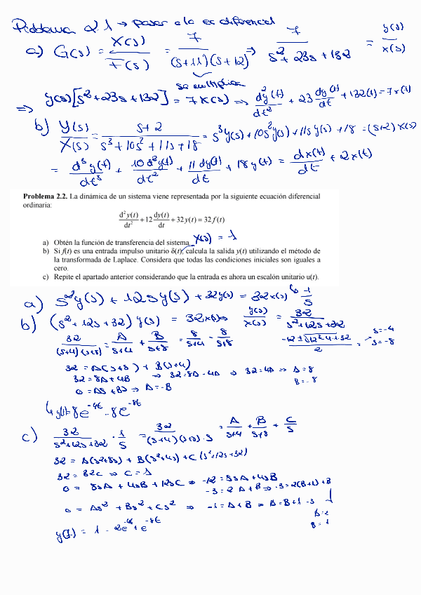
anotaciones y apuntes

84 páginas

apuntes

-

ejercicios

ejercicios para practicar

Miniatura no disponible
Arbol2.java
Miniatura no disponible
Arbol.java
Miniatura no disponible
Stack.java
Miniatura no disponible
Listasdoblementeenlazadas.java
Miniatura no disponible
idea8.java
Miniatura no disponible
idea7.java